Главная >> Геометрия 7—9 классы. Атанасян

§ 3. Скалярное произведение векторов

Задачи к § 3. Скалярное произведение векторов (окончание)

Применение скалярного произведения векторов к решению задач

1054. Докажите, что если AM — медиана треугольника АВС, то 4АМ2 = АВ2 + АС2 + 2АВ • АС • cos А. Пользуясь этой формулой, докажите, что медианы равнобедренного треугольника, проведённые к боковым сторонам, равны.

Решение

Точка М — середина отрезка ВС, поэтому Отсюда получаем

или 4AM2 = АВ2 + АС2 + 2 АВ • АС • cos А. Второе утверждение задачи докажите самостоятельно.

1055. Найдите угол, лежащий против основания равнобедренного треугольника, если медианы, проведённые к боковым сторонам, взаимно перпендикулярны.

Решение

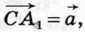
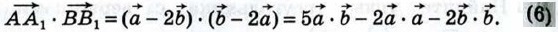
Пусть АВС — равнобедренный треугольник с основанием АВ и AA1, ВВ1 — его медианы, проведённые к боковым сторонам (рис. 305). Введём обозначения Тогда поэтому

По условию задачи АA1 ⊥ BB1 и, следовательно, Далее, = a2 cos С, = а2, = а2, поэтому равенство (6) принимает вид 0 = 5а2 cos С - 4а2. Отсюда получаем ∠C ≈ 36°52'.

1056. Докажите, что диагонали ромба взаимно перпендикулярны.

Ответы к задачам § 3. Скалярное произведение векторов

    1039. а) 45°; б) 90°; в) 90°; г) 90°; д) 180°; е) 90°; ж) 135°; з) 0°.

    1040. а) 60°; б) 120°; в) 120°; г) 90°; д) 0°; е) 180°.

    1041. а) 3√2; б) 0; в) -3√2.

    1042. в) 0; г) а2.

    1043. 13.

    1044. а) -2,5; б) 0; в) 5.

    1047. а) x =7,5; в) х = 0.

    1048. cos В = 0,

    1049. ∠A ≈ 60°, ∠B ≈ 21°47', ∠C ≈ 98°13'.

    1050. √129 и 7.

    1051. 3.

    1052. 13.

    1053. -5.

<<< К началу

 

 

???????@Mail.ru