Главная >> Геометрия 7—9 классы. Атанасян

§ 1. Правильные многоугольники

Правильный многоугольник

Вы знаете, как измеряются отрезки и как измеряются площади многоугольников. Вам известны формулы, по которым можно вычислить площади треугольника и некоторых четырёхугольников. А как вычислить длину окружности и площадь круга, если известен их радиус? Ответ на этот вопрос вы найдёте в этой главе. Но сначала нам предстоит познакомиться с красивыми геометрическими фигурами — правильными многоугольниками, вывести для них важные формулы, а затем уже с их помощью мы получим формулы длины окружности и площади круга.


Правильным многоугольником называется выпуклый многоугольник, у которого все углы равны и все стороны равны.

Примерами правильных многоугольников являются равносторонний треугольник и квадрат. На рисунке 306 изображены правильные пятиугольник, семиугольник и восьмиугольник.

    Рис. 306

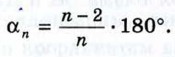
Выведем формулу для вычисления угла αn правильного n-угольника. Сумма всех углов такого n-угольника равна (n - 2) • 180°, причём все его углы равны, поэтому

 

 

???????@Mail.ru