Главная >> Геометрия 7—9 классы. Атанасян

§ 1. Правильные многоугольники

Формулы для вычисления площади правильного многоугольника, его стороны и радиуса вписанной окружности

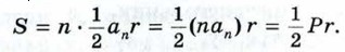
Пусть S — площадь правильного n-угольника, аn — его сторона, Р — периметр, а r и R — радиусы соответственно вписанной и описанной окружностей. Докажем сначала, что

Соединим центр данного многоугольника с его вершинами (см. рис. 308). Тогда многоугольник разобьётся на n равных треугольников, площадь каждого из которых будет равна Следовательно,

Выведем далее формулы:

Для вывода этих формул воспользуемся рисунком 308. В прямоугольном треугольнике А1Н1О

Следовательно,

Полагая в формуле (2) n = 3, 4 и 6, получим выражения для сторон правильного треугольника, квадрата и правильного шестиугольника:

 

 

???????@Mail.ru