Главная >> Геометрия 7—9 классы. Атанасян

§ 1. Правильные многоугольники

Ответы к задачам § 1. Правильные многоугольники

    1078. а) Да; б) нет.

    1079. б), в).

    1081. а) 60°; б) 108°; в) 120°; г) 144°; д) 160°.

    1082. 360°. 1083. а) 3; б) 4; в) 8; г) 12.

    1084. а) 6; б) 12; в) 4; г) 10; д) 20; е) 5.

    1085. Указание. Воспользоваться тем, что серединный перпендикуляр к любой стороне правильного многоугольника проходит через центр описанной окружности.

    1086. Указание. Воспользоваться тем, что биссектриса любого угла правильного многоугольника проходит через центр вписанной окружности.

    1087. 1) R=3√2, r = 3, Р = 24, S = 36; 2) R = 2√2, а4 = 4, Р = 16, S = 16; 3) r = 2√2, а4 = 4√2, Р = 16√2, S = 32; 4) R = 3,5√2, r = 3,5, а4 = 7, S = 49; 5) R = 2√2, r = 2, а4 = 4, Р = 16.

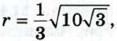
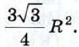
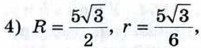
    1088. 1) r = 1,5, а3 = 3√3, Р = 9√3, 3) R = 4, а3 = 4√3, Р = 12√3, S = 12√3; а3 = 2, S = √3.

    1089. 2√6 см.

    1090. 2√3 см.

    1091. 6 см.

    1092. 32√3 см.

    1094. a) 36 см2; 6) 16√3 см2; в) 162√3 см2; r) ≈ 248,52 см2.

    1095.

    1096. S3 : S4 : S6 = √3 : 4 : 6√3.

    1097. 3 : 4.

    1098. a) 2√3r, 6√3r, 3√3r2; б) √3R, 3√3R,

    1099. √2R2.

    1100. в), г) Указание. Воспользоваться задачей 2, п. 113.

<<< К началу

 

 

???????@Mail.ru