Главная >> Геометрия 7—9 классы. Атанасян

§ 2. Длина окружности и площадь круга

Ответы к § 2. Длина окружности и площадь круга

    1101. 1) 25,12; 2) 18,84; 3) 13,06; 4) 9; 5) 4,40; 6) 1; 7) 637,42; 8) 14,65; 9) 0,45.

    1102. а) Увеличится в три раза; б) уменьшится в два раза; в) увеличится в k раз; г) уменьшится в k раз.

    1103. а) Увеличится в k раз; б) уменьшится в k раз.

    1104. д) 8π.

    1105. а) πа; б) πс(√2 - 1); в) πс (sin α + cos α - 1);

    1106. 63 см.

    1107. ≈ 12 739 км.

    1108. ≈ 42 013 км.

    1109. а) π см; в) 2π см; г) 3π см.

    1110. 30.

    1111. ≈ 59,2 см.

    1112. ≈ 36,2 см.

    1113. ≈ 4°35'.

    1114. 1) 12,56; 2) 78,5; 3) 1,69; 4) 0,26; 5) 7; 6) 9258,26; 7) 9,42; 8) 1,41.

    1115. а) Увеличится в k2 раз; б) уменьшится в k2 раз.

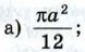
    1116.

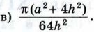
    1117.

    1118. ≈ 34,2 м2.

    1119. D ≈ 13,06 м. S ≈ 1.33,81 м2.

    1120. 4π см2.

    1121. 0,75 мм.

    1122. 5,6π дм3 = 17,6 дм3.

    1123. r2 (π - 2).

    1124. Площадь наименьшего круга равна π, а площади колец равны 3π, 5π, 7π.

    1126. ≈ 262 см2.

    1127.

    1128.

<<< К началу

 

 

???????@Mail.ru