Главная >> Геометрия 7—9 классы. Атанасян

§ 2. Тела и поверхности вращения

Ответы к задачам § 2. Тела и поверхности вращения

1226. Пусть V — объём шара радиуса R, S — площадь его поверхности. Найдите: a) S и V, если R = 4см; б) R и S, если V = 113,04 см3; в) R и V, если S = 64π см2.

1227. Диаметр Луны составляет (приближённо) четвёртую часть диаметра Земли. Сравните объёмы Луны и Земли, считая их шарами.

1228. Стаканчик для мороженого конической формы имеет глубину 12 см и диаметр верхней части 5 см. На него сверху положили две ложки мороженого в виде полушарий диаметром 5 см. Переполнит ли мороженое стаканчик, если оно растает?

1229. Сколько кожи пойдёт на покрышку футбольного мяча радиуса 10 см (на швы добавить 8% от площади поверхности мяча)?

1230. Докажите, что площадь сферы равна площади полной поверхности конуса, высота которого равна диаметру сферы, а диаметр основания равен образующей конуса.

1231. Отношение объёмов двух шаров равно 8. Как относятся площади их поверхностей?

Ответы к задачам § 2. Тела и поверхности вращения

    1214. а) 24π см3; в) 2 см.

    1215.

    1216. π2м2.

    1217. ≈ 2,58 м2.

    1218.

    1220. а) 2,25π см3; б) 9см;

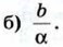
    1221.

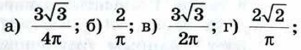
    1222.

    1223. Sбок = 80π см2, Sкон = 144π см2.

    1226. а) 64π см2, б) ≈ 3 см, ≈ 36л см2; в) 4 см,

    1227. Объём Земли в 64 раза больше объёма Луны.

    1228. Нет.

    1229. 432π см2 ≈ 1357см2.

    1231. 4 : 1.

<<< К началу

 

 

???????@Mail.ru