Главная >> Геометрия 7—9 классы. Атанасян

§ 2. Площади параллелограмма, треугольника и трапеции

Площадь треугольника

Одну из сторон треугольника часто называют его основанием. Если основание выбрано, то под словом «высота» подразумевают высоту треугольника, проведённую к основанию. Теорема

Площадь треугольника равна половине произведения его основания на высоту.

Доказательство

Пусть S — площадь треугольника АВС (рис. 183). Примем сторону АВ за основание треугольника и проведём высоту СН. Докажем, что

    рис. 183

Достроим треугольник АВС до параллелограмма ABDC так, как показано на рисунке 183. Треугольники АВС и DCB равны по трём сторонам (ВС — их общая сторона, АВ = CD и АС = BD как противоположные стороны параллелограмма ABDC), поэтому их площади равны. Следовательно, площадь S треугольника АВС равна половине площади параллелограмма ABDC, т. е. Теорема доказана.

Следствие 1

Площадь прямоугольного треугольника равна половине произведения его катетов.

Следствие 2

Если высоты двух треугольников равны, то и площади относятся как основания.

Воспользуемся следствием 2 для доказательства теоремы об отношении площадей треугольников, имеющих по равному углу.

Теорема

Если угол одного треугольника равен углу другого треугольника, то площади этих треугольников относятся как произведения сторон, заключающих равные углы.

Доказательство

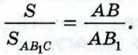
Пусть S и S1 — площади треугольников АВС и A1B1C1, у которых ∠A = ∠A1 (рис. 184, а). Докажем, что

    рис. 184

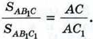
Наложим треугольник A1B1C1 на треугольник ABC так, чтобы вершина А1 совместилась с вершиной А, а стороны А1В1 и A1С1 наложились соответственно на лучи АВ и АС (рис. 184, б). Треугольники АВС и АВ1С имеют общую высоту — CН, поэтому Треугольники АВ1С и АВ1С1 также имеют общую высоту — В1Н1, поэтому Перемножая полученные равенства, находим:

Теорема доказана.

 

 

???????@Mail.ru