Главная >> Машиностроительное черчение. Инженерная графика. Чекмарев

Чертежи оригинальных деталей

Нанесение различных надписей, обозначений на чертежах (окончание)

Система нормирования и обозначения шероховатости поверхности

Шероховатостью поверхности (по ГОСТ 2789—73) называют совокупность неровностей поверхности с относительно малыми шагами на базовой длине l. Базовой длиной l называют длину базовой линии, используемой для выделения неровностей, характеризующих шероховатость поверхности, и для количественного определения ее параметров. Базовая линия имеет заданную геометрическую форму и определенное положение относительно профиля поверхности. Шероховатость обработанной поверхности является следствием пластической деформации поверхностного слоя детали при образовании стружки, копирования неровностей режущих кромок инструмента и трения его о деталь, вырывания с поверхности частиц материала и других причин.

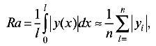
Числовые значения шероховатости поверхности определяют от единой базы, за которую принята средняя линия профиля, проведенная так, что в пределах базовой длины среднее квадратическое отклонение профиля до этой линии минимально. Систему отсчета шероховатости от средней линии профиля m называют системой М. Количественно шероховатость поверхности устанавливают независимо от способа ее обработки. По системе М шероховатость поверхности можно оценивать одним или несколькими параметрами: средним арифметическим отклонением профиля Ra, высотой неровностей профиля по десяти точкам Rz, наибольшей высотой неровностей профиля S, средним шагом неровностей профиля по вершинам Rmax, относительной опорной длиной профиля tр. Параметр Ra является предпочтительным.

Среднее арифметическое отклонение профиля Ra — среднее арифметическое значение профиля у в пределах базовой длины:

Среднее арифметическое отклонение профиля

где l — базовая длина; n — число отклонений профиля у; координата х — по средней линии профиля m.

Отклонение профиля у в системе М — расстояние между любой точкой профиля и средней линией, измеренное по нормали, проведенной к средней линии через эту точку профиля.

Высота неровностей профиля по десяти точкам Rz — среднее значение абсолютных высот пяти наибольших выступов профиля и глубин пяти наибольших впадин профиля в пределах базовой длины:

Высота неровностей профиля по десяти точкам R

где Hmax i. — высота i-го наибольшего выступа профиля; Hmin i. — глубина i-й наибольшей впадины профиля.

Числовые значения параметров шероховатости Ra, Rz и др. приведены в ГОСТ 2789—73.

Обозначение шероховатости поверхностей (ГОСТ 2.309—73)

Шероховатость поверхностей обозначают на чертеже для всех выполняемых по данному чертежу поверхностей детали независимо от методов их образования, кроме поверхностей, шероховатость которых не обусловлена требованиями конструкции. В обозначении шероховатости поверхности, вид обработки которой конструктор не устанавливает, применяют знак, указанный на рис. 10.72. Структура обозначения шероховатости поверхности: 1 — знак; 2 — базовая длина; параметр (параметры) шероховатости; 3 — полка знака; 4 — условное обозначение направления неровностей; 5 — способ обработки и (или) другие дополнительные указания.

На рис. 10.73 приведены варианты знаков в обозначении шероховатости поверхности: а — способ обработки поверхности конструктор не устанавливает; б — удаляется слой материала; в — поверхность образуется без удаления слоя материала с указанием значения параметра шероховатости.

Обозначение шероховатости поверхностей

В обозначении применяют один из знаков шероховатости, изображенных на рис. 10.73. Высота h приблизительно равна примененной на данном чертеже высоте цифр размерных чисел. Высоту Н принимают равной (1,5...3)h. Толщина линий знаков примерно равна половине толщины сплошной основной линии чертежа.

В обозначении шероховатости поверхности, образуемой без снятия слоя материала, например литьем, ковкой, объемной штамповкой, прокатом, волочением и т.п., применяют знак Vх; поверхности, не обрабатываемые по данному чертежу, обозначают этим же знаком. Состояние поверхности, обозначаемой знаком '9/, должно удовлетворять требованиям, установленным соответствующим стандартом или техническими условиями на сортамент материала.

Значение параметра шероховатости Ra указывают в ее обозначении без символа, например 0,32; для остальных параметров — после соответствующего символа, например Rz16. Здесь указано наибольшее допустимое значение параметров шероховатости; их наименьшее значение не ограничивается.

Обозначение шероховатости поверхности на изображении детали располагают на линиях контура (рис. 10.74), выносных линиях (по возможности ближе к размерной линии) или полках линий- выносок.

Обозначение шероховатости поверхности на изображении детали

Допускается при недостатке места располагать обозначение шероховатости на размерных линиях или на их продолжениях.

При указании одинаковой шероховатости для всех поверхностей детали обозначение шероховатости помещают в правом верхнем углу чертежа и на изображении не наносят. Расстояние от обозначения шероховатости до верхней и правой линий рамки чертежа 5.. .10 мм. При указании одинаковой шероховатости для части поверхностей детали в правом верхнем углу чертежа помещают обозначение одинаковой шероховатости и знак . Это означает, что все поверхности, на которых на изображении не нанесены обозначения шероховатости или знак , должны иметь шероховатость, указанную перед знаком . Когда часть поверхностей изделия не обрабатывают по данному чертежу, в правом верхнем углу чертежа перед знаком помещают знак . Если шероховатость одной и той же поверхности различна на отдельных участках, то эти участки разграничивают сплошной тонкой линией с нанесением соответствующих размеров и обозначений шероховатости.

Нанесение обозначений покрытий и термической обработки

Обозначение покрытий по ГОСТ 2.310—68 и 9.032—74 указывают в технических требованиях чертежа. Перед обозначением вида покрытия (защитного, защитно-декоративного, износостойкого и др.), наносимого на поверхность детали, в технических требованиях указывают слово «Покрытие...». Если одинаковое покрытие наносят на несколько поверхностей, то их обозначают одной буквой на полке линии-выноски и записывают: «Покрытие поверхностей А...», где буква А означает покрываемые поверхности. Если на поверхности детали наносят разные покрытия, то эти покрытия обозначают разными буквами и записывают: «Покрытие поверхности А..., поверхности Б.». Участки поверхности, подлежащие покрытию, обозначают одной буквой, указывают размеры их формы и положения.

Если деталь подвергается термической обработке, то в технических требованиях указывают твердость материала, получаемую в результате нее. Если термической обработке подвергают часть детали, то обрабатываемый участок обводят штрихпунктирной утолщенной линией (на расстоянии 0,8.1 мм от контурной), указывают размер обрабатываемого участка и на полке линии-выноски обозначают твердость поверхности.

Указание на чертежах о маркировании изделий

Правила указания маркирования и клеймения на чертежах установлены ГОСТ 2.314— 68. Указание о маркировании и клеймении помещают в технических требованиях чертежа и начинают словами: «Маркировать.» или «Клеймить.». Указание о клеймении на чертежах помещают только в тех случаях, когда необходимо предусмотреть на изделии определенное место клеймения, размеры и способ нанесения клейма.

Место нанесения маркировки или клейма на изображении изделия отмечают точкой и соединяют ее линией-выноской со знаками маркирования или клеймения, которые располагают вне изображения. Знак маркировки — окружность диаметром 10.15 мм, знак клеймения — равносторонний треугольник высотой 10.15 мм. Внутри знака помещают номер соответствующего пункта технических требований, в котором приведены указания о маркировании или клеймении. Знаки маркирования и клеймения выполняют сплошными основными линиями.

Если маркированию или клеймению подлежат определенные части изделия (головка болта, торец вала и т.п.), то знаки маркирования и клеймения на чертеж не наносят, а место клеймения указывают в технических требованиях.

Указания о маркировании и клеймении должны определять: содержание маркировки и клейма, место нанесения и,21 при необходимости, способ нанесения и размер шрифта.

<<< К началу параграфа                       Следующий параграф >>>

 

 

???????@Mail.ru