Главная >> Математика 5 класс. Виленкин

§ 3. Умножение и деление натуральных чисел

11. Умножение натуральных чисел и его свойства

Если концертный зал освещается 3 люстрами по 25 лампочек в каждой, то всего лампочек в этих люстрах будет 25 + 25 + 25, то есть 75.

Сумму, в которой все слагаемые равны друг другу, записывают короче: вместо 25 + 25 + 25 пишут 25 • 3. Значит, 25 • 3 = 75. Число 75 называют произведением чисел 25 и 3, а числа 25 и 3 называют множителями.

Умножить число m на натуральное число n — значит найти сумму n слагаемых, каждое из которых равно m.

Выражение m • n и значение этого выражения называют произведением чисел тип. Числа тип называют множителями.

Произведения 7 числу 28 (рис. 46).

1. Произведение двух чисел не изменяется при перестановке множителей.

 

Это свойство умножения называют переместительным. С помощью букв его записывают так:

а • b = b • а.

Произведения (5 • 3) • 2 = 15 • 2 и 5 • (3 • 2) = 5 • 6 имеют одно и то же значение 30. Значит, 5 • (3 • 2) = (5 • 3) • 2 (рис. 47).

2. Чтобы умножить число на произведение двух чисел, можно сначала умножить его на первый множитель, а потом полученное произведение умножить на второй множитель.

Это свойство умножения называют сочетательным. С помощью букв его записывают так:

a • (b • с) = (а • b) • с.

Сумма п слагаемых, каждое из которых равно 1, равна n. Поэтому верно равенство 1 • n = n.
Сумма n слагаемых, каждое из которых равно нулю, равна нулю. Поэтому верно равенство 0 • n = 0.
Чтобы переместительное свойство умножения было верно при n = 1 и n = 0, условились, что m • 1 = m и m • 0 = 0.
Перед буквенными множителями обычно не пишут знак умножения: вместо 8 • х пишут 8x, вместо a • b пишут ab.
Опускают знак умножения и перед скобками. Например, вместо 2 • (а + b) пишут 2(а + b), а вместо (х + 2) • (у + 3) пишут (х + 2)(у + 3). Вместо (ab)c пишут dbc.

 

Когда в записи произведения нет скобок, умножение выполняют по порядку слева направо.

404. Представьте в виде произведения сумму:

    а) 707 + 707 + 707;
    б) 50 + 50 + 50 + 50 + 50 + 50;
    в) х + х + х + x + x + x.

405. Представьте в виде суммы произведение:

    а) 712 • 3;     в) (х + у) • 4;
    б) а • 6;     г) (k + m + 4) • 2.

406. Вместо слов «представьте в виде произведения» говорят «разложите на множители».

Разложите всеми способами на два множителя число 12.

407. Сколько времени Борис решал 6 уравнений, если на каждое уравнение ему требовалось 2 мин 30 с?

408. Точка С лежит на отрезке АВ. Найдите длину отрезка АВ, если АС = 8 см, а длина отрезка СВ в 3 раза больше длины отрезка АС.

409. Отрезок АВ разбит на 17 отрезков, по 7 см каждый. Найдите длину отрезка АВ.

410. В двух ящиках лежат помидоры. Во втором ящике в 3 раза больше помидоров, чем в первом. Сколько помидоров в обоих ящиках, если в первом ящике 12 кг?

411. Серёжа старше своей сестры на 5 лет, но моложе отца в 3 раза. Сколько лет Серёже и сколько лет его отцу, если Серёжиной сестре 8 лет?

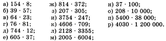
412. Найдите значение произведения:

413. Найдите значение выражения:

    а) 305 + 305 + 305 + 305 + 73;
    б) 615 + 615 + 125 + 125 + 125;
    в) 2011 + 402 + 402 + 402 + 402 + 402;
    г) 58 + 58 + 58 + 58 + 58 + 720 + 720.

414. Вместо звёздочек поставьте пропущенные цифры:

Продолжение >>>

 

 

???????@Mail.ru