Главная >> Математика 5 класс. Виленкин

§ 5. Обыкновенные дроби

26. Сложение и вычитание дробей с одинаковыми знаменателями

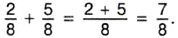
Буханку хлеба разделили на 8 равных частей (долей) (рис. 126, а). Сначала на тарелку положили 2 доли, а потом ещё 5 долей (рис. 126, б).

На тарелке оказалось 7 долей, то есть буханки:

При сложении дробей с одинаковыми знаменателями числители складывают, а знаменатель оставляют тот же.

С помощью букв правило сложения можно записать так:

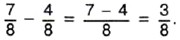
Буханку хлеба разрезали на 8 равных частей (рис. 127, а). На тарелку положили 7 долей, а потом 4 доли съели (рис. 127, б). Осталось 3 доли, то есть буханки:

При вычитании дробей с одинаковыми знаменателями из числителя уменьшаемого вычитают числитель вычитаемого, а знаменатель оставляют тот же.

С помощью букв правило вычитания записывают так:

1005. Из помидоров массой кг и огурцов массой кг сделали салат. Какова масса салата?

1006. Масса станка равна а масса его упаковки Найдите массу станка вместе с упаковкой.

1007. В первый день картофель посадили на участка, а во второй день — на участка. Какая часть участка была засажена картофелем за эти два дня?

1008. Одна бригада получила гвоздей, а вторая на меньше. Сколько гвоздей получила вторая бригада?

1009. За два дня засеяли поля. В первый день засеяли поля. Какую часть поля засеяли во второй день?

1010. Цистерна на наполнена бензином. цистерны перелили в бочку. Какая часть цистерны осталась заполненной бензином?

1011. Выполните действие:

1012. Найдите значение выражения:

Продолжение >>>

 

 

???????@Mail.ru