Главная >> Математика 5 класс. Виленкин

§ 5. Обыкновенные дроби

29. Сложение и вычитание смешанных чисел. Математика 5 класс

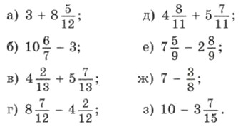
1130. Выполните действия:

1131. Лесник прошёл 3 км и 4 ч ехал на лошади. С какой скоростью он ехал на лошади, если весь путь равен 34 км?

1132. Пошёл дождь. Под водосточную трубу поставили пустую бочку. В неё вливалось каждую минуту 8 л воды, а через щель в бочке выливалось 3 л воды в минуту. Сколько литров воды будет в бочке через 1 мин; 2 мин; 3 мин? Успеет ли бочка наполниться, если её объём 400 л, а дождь шёл 1 ч 10 мин?

1133. Легковой автомобиль движется со скоростью 70 км/ч, а грузовой — со скоростью 40 км/ч. Сейчас легковой автомобиль находится сзади грузовика на расстоянии 60 км. Оба автомобиля движутся в одном направлении. Какое расстояние будет между ними через 1 ч, через 2 ч, через 3 ч?

1134. Решите задачу:

1) В третьем классе 35 учеников. Из них умеют играть в шахматы. Сколько ребят в этом классе ещё не научились играть в шахматы?

2) В бригаде 15 человек. Из них владеют только одной специальностью, а остальные — двумя. Сколько человек в бригаде владеют двумя специальностями?

1135. Найдите значение выражения:

1) (38 • 35 - 35) : 259;
2) (43 • 21 + 1671) : 429.

1136. Выполните действия:

1137. Длина прямоугольника м, а ширина на м меньше длины. Найдите периметр прямоугольника.

1138. В один из дней зимних каникул мальчик ч катался на лыжах, а на коньках на ч меньше. Сколько всего времени он катался на лыжах и коньках?

1139. Верёвку длиной 256 м разрезали на две части, одна из которых в 7 раз длиннее второй. На сколько метров одна часть верёвки длиннее второй?

1140. В археологических раскопках древнего города участвовали две экспедиции. В первой было в три раза больше сотрудников, чем во второй. Когда во вторую экспедицию прибыли ещё 18 человек, то в двух экспедициях вместе стало 66 сотрудников. Сколько стало сотрудников во второй экспедиции?

1141. В куске 112 м материи. Из куска сшили детские костюмы. Сколько метров материи осталось?

1142. Площадь прямоугольника 616 м2, а его длина 28 м. Найдите площадь такого квадрата, у которого периметр равен периметру прямоугольника.

1143. Выполните действия:

а) (936 : 24 + 32 • 14) : 487;
б) (43 • 56 + 43 • 44) : 215 - 15.

<<< К началу

 

 

???????@Mail.ru