Главная >> Математика 5 класс. Виленкин

§ 5. Обыкновенные дроби

29. Сложение и вычитание смешанных чисел

Сложение и вычитание смешанных чисел выполняется на основе свойств этих действий.

Задача 1. На столе лежали плитки шоколада. Сколько плиток шоколада будет лежать на столе, если на него положить ещё плитки (рис. 134)?

Р е ш е н и е. Чтобы решить задачу, надо сложить числа

Так как то

Пишут короче:

Значит, на столе будут лежать плитки шоколада.

Задача 2. На тарелке лежали плитки шоколада. Сколько останется плиток шоколада на тарелке, если плитки съедят (рис. 135)?

Р е ш е н и е. Чтобы решить задачу, надо из вычесть . Имеем:

Пишут короче:

При сложении (и вычитании) чисел в смешанной записи целые части складывают (вычитают) отдельно, а дробные — отдельно.

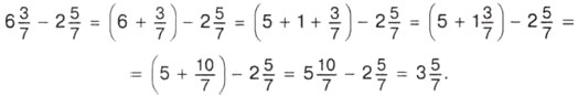
Иногда при сложении смешанных чисел в их дробной части получается неправильная дробь. В этом случае из неё выделяют целую часть и добавляют её к уже имеющейся целой части.

Например:

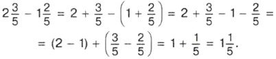
Если при вычитании смешанных чисел дробная часть уменьшаемого меньше дробной части вычитаемого, поступают так:

Обычно пишут короче:

Таким же образом поступают и при вычитании дроби из натурального числа, и при вычитании смешанного числа из натурального числа.

Например:

1115. В одной коробке кг конфет, а в другой коробке кг. Сколько килограммов конфет в этих двух коробках?

1116. Чему равна длина белой ленты, если длина красной ленты м, а белая лента на короче красной?

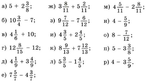
1117. Выполните действия:

Продолжение >>>

 

 

???????@Mail.ru