Главная >> Математика 5 класс. Виленкин

§ 6. Десятичные дроби. Сложение и вычитание десятичных дробей

31. Сравнение десятичных дробей. Математика 5 класс

1193. Выразите:

а) в миллионах: 8 984 000;   91,78 млрд;
б) в тысячах: 1306;   8,065 млн;   17,8 млрд.

1194. Какую массу показывают каждые весы (рис. 144)? Запишите результат в килограммах.

1195. Запишите в виде десятичных дробей частные:

7206 : 100; 61 : 1000; 7 : 100; 1849 : 1000.

1196. Решите задачу:

а) Теплоход идёт вниз по реке. Какова скорость движения теплохода, если скорость течения реки 4 км/ч, а собственная скорость теплохода (скорость в стоячей воде) равна 21 км/ч?

б) Моторная лодка идёт вверх по реке. Какова скорость движения лодки, если скорость течения 3 км/ч, а собственная скорость лодки 14 км/ч?

1197. Разложите по разрядам числа: 5089; 6 781 802; 8000; 98 000 560.

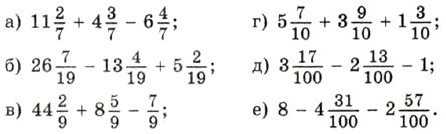
1198. Выполните действие:

1199. Решите задачу:

1) Со станции вышел товарный поезд со скоростью 50 км/ч. Через 3 ч с той же станции вслед за ним вышел электропоезд со скоростью 80 км/ч. Через сколько часов после своего выхода электропоезд догонит товарный поезд?

2) Самолёт вылетел с аэродрома со скоростью 500 км/ч. Через 2 ч с этого же аэродрома в том же направлении вылетел другой самолёт со скоростью 700 км/ч. Через сколько часов после вылета второй самолёт догонит первый?

1200. Сравните числа:

    а) 3,573 и 3,581;
    б) 8,605 и 8,59;
    в) 7,299 и 7,3;
    г) 6,504 и 6,505;
    д) 3,29 и 3,3;
    е) 4,85 и 0,1.

1201. Напишите все цифры, которые можно поставить вместо звёздочки, чтобы получилось верное неравенство:

а) 0,*3 > 0,13;     в) 5,64 > 5,*8;     д) 12,*4 > 12,53;
б) 0,1* < 0,18;     г) 3,51 < 3,*1;     е) 0,001 < 0,0*1.

1202. Напишите число, меньшее 0,000001.

1203. Примите за единичный отрезок длину десяти клеток тетради и отметьте на координатном луче точки: А(0,7), B(1,2), С(1,8).

1204. Разложите по разрядам 49 008 и 67 813 742.

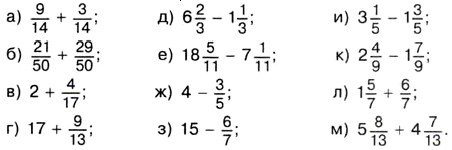
Выполните действия:

1206. Два поезда вышли в разное время навстречу друг другу из двух городов, расстояние между которыми 782 км. Скорость первого поезда 52 км/ч, а второго 61 км/ч. Пройдя 416 км, первый поезд встретился со вторым. На сколько один из поездов вышел раньше другого?

1207. С одной и той же станции в одно и то же время вышли в противоположных направлениях два поезда. Скорость одного поезда 50 км/ч, а скорость другого 85 км/ч. Через какое время расстояние между ними будет равно 540 км?

1208. Чтобы добраться из города до села, я проехал 5 ч на поезде, 2 ч на автобусе и 3 ч прошёл пешком. Скорость автобуса была 35 км/ч, скорость поезда вдвое больше скорости автобуса, а пешком я шёл со скоростью, на 65 км/ч меньшей, чем скорость поезда. Какой путь я проделал от города до села?

1209. Поле в 1260 га засеяли озимой пшеницей вместо яровой и собрали по 28 ц зерна с гектара. Урожайность яровой пшеницы была 18 ц с гектара. Какую прибавку зерна получили со всей площади?

1210. Решите уравнение:

а) 14x - (8x + 3x) = 1512; б) 11 у - (5y - 3 у) = 8136.

<<< К началу

 

 

???????@Mail.ru