Главная >> Математика 5 класс. Виленкин

§ 8. Инструменты для вычислений и измерений

44. Вопросы и задачи на повторение

1711. Приведите примеры:

    а) натуральных чисел;
    б) обыкновенных дробей;
    в) чисел, не являющихся натуральными;
    г) десятичных дробей.

1712. Среди следующих чисел укажите натуральные:

18; ; 1; 0,6; 0; 105; 12,4.

1713. Пятизначное число оканчивается цифрой 6. В этом числе переставили две последние цифры, но оно не изменилось. Какая цифра стояла в числе перед цифрой 6?

1714. На сколько изменится семизначное число, оканчивающееся на 40, если эти две цифры поменять местами?

1715. Верно ли, что если цифры, из которых составлено шестизначное число, записать в обратном порядке, то получится опять шестизначное число?

1716. В каком порядке выполняются действия в выражении без скобок, если в нём встречаются только сложение и деление?

1717. Вычислите устно:

1718. Выполните действия:

    1) 5555 + (82 320 : 84 - 693) • 66;
    2) 32 087 - 87 • (67 + 62 524 : 308);
    3) 467 915 + 137 865 : (31 353 - 48 • 609);
    4) 51 003 - (4968 + 709 • 52) + 203;
    5) 612 228 + (53 007 - 52 275 : 615);
    6) 343 • (324 378 : 54 - 4862) + 777;
    7) 18 408 : (268 -75 - 19 746) + 959;
    8) (86 • 217 + 275 116) : 859 + 279 569.

1719. Сформулируйте и запишите с помощью букв:

    а) свойства сложения чисел;
    б) свойства вычитания чисел;
    в) свойства умножения чисел.

Приведите примеры, когда использование свойств арифметических действий упрощает вычисления.

1720. При каком условии:

    а) сумма двух чисел равна одному из них;
    б) разность равна уменьшаемому, нулю;
    в) произведение равно одному из множителей, нулю;
    г) частное равно делимому, нулю, единице?

Как найти делимое, если известны делитель, неполное частное и остаток?

1721. Выполните деление с остатком:

а) 27 450 на 89; б) 30 394 на 307.

1722. При делении числа с на 12 получили в частном 7 и в остатке 5. Чему будут равны частное и остаток при делении числа с на 7?

1723. Найдите значение выражения:

а) 85 + 203x + 102x + 91, если х = 76; 201;
б) 79у - (23у - 15y), если у = 15; 309.

1724. Какая дробь называется правильной; неправильной? Как представить в виде неправильной дроби число ; 4? Как выделить целую часть числа ?

1725. Запишите в виде неправильной дроби число:

1726. Выполните действия:

1727. В коробку положили 15 конфет «Маска», 20 конфет «Ромашка» и 40 ирисок. Какую часть всех конфет составляют конфеты каждого сорта?

1728. Сколькими способами 4 пассажира могут разместиться в четырёхместном купе поезда?

1729. Мастерская за месяц должна сшить 38 костюмов. В первую неделю было сшито 7 костюмов, во вторую — 11 костюмов. Какую часть всех костюмов осталось сшить?

1730. За месяц завод должен отгрузить 42 вагона продукции. В первую неделю отгрузили 12 вагонов, во вторую неделю — 8 вагонов. Какую часть всех вагонов осталось отгрузить заводу?

1731. Длина одной стороны четырёхугольника составляет его периметра, длина другой периметра, а сумма длин этих сторон равна 28 см. Найдите периметр четырёхугольника.

1732. Число лет сына составляет числа лет отца, а число лет дочери числа лет отца. Сколько лет отцу, если сыну и дочери вместе 28 лет?

1733. В палатку привезли 1260 кг картофеля. В первый день было продано всего картофеля, во второй день — остатка. Сколько килограммов картофеля осталось после двух дней продажи?

1734. Приняв за единичный отрезок длину 10 клеток тетради, отметьте на луче точки, координаты которых равны:

1735. Назовите какое-нибудь значение координаты точки С, лежащей на координатном луче между точками А и В, если:

1736. Как на координатном луче расположены точки A(x) и В(у), если:

а) х> у;     б) х = у;     в) х < у?

1737. Как сравнить:

    а) четырёхзначное и пятизначное натуральные числа;
    б) два шестизначных числа, первое из которых начинается цифрой 7, а второе — цифрой 5;
    в) натуральное число и 0;
    г) обыкновенные дроби с одинаковыми знаменателями;
    д) десятичные дроби с разными целыми частями;
    е) десятичные дроби с одинаковыми целыми частями?

1738. Сравните числа:

1739. Приведите примеры округления:

    а) натурального числа до тысячи;
    б) десятичной дроби до единиц;
    в) десятичной дроби до сотых.

1740. Как найти среднее арифметическое нескольких чисел? Как найти среднюю скорость?

1741. Вычислите устно:

1742. На рисунке 188 изображена шкала расстояний от города А до города В. Каждое деление шкалы соответствует расстоянию 20 км. Точками М, N, Р отмечены расстояния, которые прошла автомашина через каждый час, двигаясь из города А в город В.

Определите:

    а) чему равно расстояние от города А до города В;
    б) какое расстояние прошла автомашина за первые два часа; за вторые два часа;
    в) на каком расстоянии от города В была автомашина через 2 ч после выхода из города А;
    г) какое расстояние прошла автомашина за 3 ч;
    д) с какой средней скоростью шла автомашина в первые 2 ч; во вторые 2 ч.

1743. Какую дробь называют десятичной? Приведите примеры таких дробей и назовите по порядку первые четыре разряда, стоящие в десятичной дроби справа от запятой. Изменится ли десятичная дробь, если к ней справа приписать один или несколько нулей? Как представить обыкновенную дробь в виде десятичной? Приведите пример.

1744. По какому правилу выполняется:

    а) сложение (вычитание) обыкновенных дробей с одинаковыми знаменателями;
    б) сложение (вычитание) десятичных дробей;
    в) умножение десятичных дробей;
    г) умножение десятичной дроби на 10, 100, 1000 и т. д.;
    д) деление десятичной дроби на натуральное число;
    е) деление числа на десятичную дробь;
    ж) умножение десятичной дроби на 0,1; 0,01; 0,001 и т. д.;
    з) деление десятичной дроби на 10, 100, 1000 и т. д.;
    и) деление десятичной дроби на 0,1; 0,01; 0,001 и т. д.?

1745. Найдите значение выражения:

    а) 427 051 : 839 - 390 912 : 768 + 252 000 : 1260 + 249 249 : 249;
    б) 917 580 : (194 + 25 • 37) - 386;
    в) (23,79 : 7,8 - 6,8 : 17) • 3,04 - 2,04 • 0,85;
    г) (15,36 - 4,36 • (20,74 : 6,8 - 7,6 : 19)) • 0,25;
    д) ((3,2 + 0,32) : 0,1 - (50 - 7,2) • 0,1) • 100;
    е) ((4,3 - 1,08) : 0,1 + (40 - 8,4) • 0,1) • 100.

1746. Найдите значение выражения:

а) 8 • (1,4x + 13,6у) + 13 • (0,8x - 0,6y) при х = 1; у = 1;
б) 3 • (2,9р - 1,9m) + 2 • (2,3р + 0,7m) при р = 0,1; m = 0.

Продолжение >>>

 

 

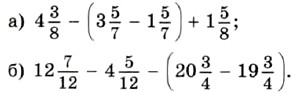
???????@Mail.ru