Главная >> Математика 6 класс. Виленкин

§2. Сложение и вычитание дробей с разными знаменателями

10. Приведение дробей к общему знаменателю (продолжение)

Итак,


К какому новому знаменателю можно привести данную дробь?
Можно ли привести дробь - к знаменателю 35? к знаменателю 25?
Какое число называют дополнительным множителем?
Как найти дополнительный множитель?
Какое число может служить общим знаменателем двух дробей?
Как привести дроби к наименьшему общему знаменателю?


275. Приведите дробь:

276. Выразите в минутах, а потом в шестидесятых долях часа:

277. Сколько содержится:

278. Сократите дроби , а потом приведите их к знаменателю 24.

279. Можно ли привести к знаменателю 36 дроби:

280. Можно ли представить в виде десятичной дроби:

В каком случае обыкновенную дробь можно представить в виде десятичной?

281. Запишите в виде десятичной дроби, приведя:

282. Запишите в виде десятичной дроби:

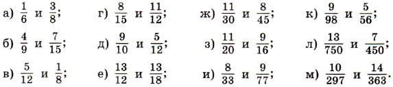
283. Приведите к наименьшему общему знаменателю дроби:

284. Вычислите устно:

285. Найдите пропущенные числа, если х = 0,8; 0,16; 0,06; 1:

286. На какое число надо умножить 24 ; 8 ; 1 6 ; 6 ; 12 , чтобы получить 48?

Рис. 14

287. С помощью транспортира разделите одну окружность на 6, а другую — на 3 равные дуги. Постройте многоугольники, изображённые на рисунке 14. У каждого из этих многоугольников равны стороны и равны углы. Такие многоугольники называют правильными. Подумайте, является ли правильным многоугольником прямоугольник; квадрат.

288. Сократите:

289. Найдите наибольший общий делитель числителя и знаменателя и сократите дробь:

<<< К началу      Окончание >>>

 

 

???????@Mail.ru