Главная >> Математика 6 класс. Виленкин

§ 2. Сложение и вычитание дробей с разными знаменателями

11. Сравнение, сложение и вычитание дробей с разными знаменателями (продолжение)

320. На координатном луче отмечены точки (рис. 16). Отметьте на луче точку с координатами:

Рис. 16

321. Найдите значение выражения:

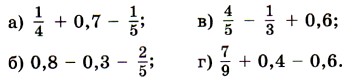
322. Замените десятичную дробь обыкновенной дробью и выполните действие:

323. Замените обыкновенную дробь десятичной и выполните действие:

324. Выполните действия сначала в обыкновенных дробях, а потом в десятичных.

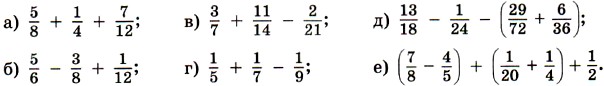
325. Выполните действия:

326. Выполните действие:

327. Найдите значение выражения:

328. Решите уравнение:

329. Найдите значение выражения:

330. Найдите значение выражения:

331. Используя свойство вычитания числа из суммы, найдите значение выражения:

332. Используя свойство вычитания суммы из числа, найдите значение выражения:

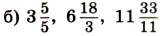
333. Найдите значение выражения , если а = 1; 2; 5; 7.

334. Найдите значение выражения если x = 4; 5; 6.

335. Петя играл в футбол ч, а в волейбол ч. Что больше заняло времени: игра в футбол или игра в волейбол — и на сколько? Сколько времени затратил Петя на обе игры?

336. Тракторист вспахал в первый час поля, во второй час поля и в третий час поля. Какую часть поля вспахал тракторист за эти 3 ч?

337. В первый день асфальтом покрыли км дороги, а во второй день — на км больше, чем в первый день. Сколько километров дороги покрыли асфальтом за эти два дня?

338. Длина прямоугольника м, а ширина на м меньше длины. Найдите ширину прямоугольника и его периметр.

339. В палатку привезли т моркови и т свёклы. К вечеру продали т привезённых овощей. Сколько тонн овощей осталось?

340. За первый месяц завод выполнил годового плана, а за второй — на годового плана меньше. Какую часть годового плана выполнил завод за два месяца?

341. При посадке овощей после одного дня работы остались незасаженными га поля. Какая площадь осталась бы незасаженной, если бы в этот день овощи высадили на площади, большей на га?

342. Два поезда вышли одновременно из двух городов навстречу друг другу. Каждый час они приближались друг к другу на всего расстояния между городами. Какую часть расстояния между городами проходил за час один из них, если другой проходил за час этого расстояния?

343. Из села в город одновременно вышли две автомашины: грузовая и легковая. Каждый час грузовая автомашина отставала от легковой на всего расстояния от села до города. Какую часть этого расстояния проходила грузовая автомашина за 1 ч, если легковая за 1 ч проходила этого расстояния?

344. Один комбайн может убрать всё поле за 6 дней, а другой — за 4 дня. Какую часть поля уберут оба комбайна за один день?

345. Один мотор израсходует полный бак бензина за 18 ч, а другой — за 12 ч. Какую часть полного бака израсходуют оба мотора, если первый будет работать 5 ч, а второй — 7 ч?

346. Вычислите устно:

347. Найдите пропущенные числа:

348. Найдите значение выражения:

а) 0,72 - 0,б2;     б) З3 - 17,5;     в) 0,52 • 8;     г) 2,6 : 0,13.

349. Значение какого выражения можно вычислить на микрокалькуляторе по программе:

351. Приведите к наименьшему общему знаменателю дроби:

352. Сократите, а затем приведите к наименьшему общему знаменателю дроби:

353. Запишите числа:

так, чтобы их дробная часть была правильной дробью;

в виде натуральных чисел.

<<< К началу      Окончание >>>

 

 

???????@Mail.ru