Главная >> Математика 6 класс. Виленкин

§ 2. Сложение и вычитание дробей с разными знаменателями

12. Сложение и вычитание смешанных чисел (продолжение)

379. Выполните действие:

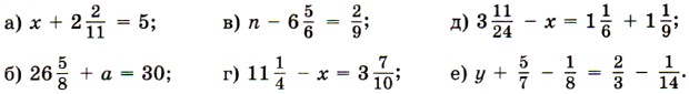
380. Решите уравнение:

381. Найдите по формуле

382. Школьный бассейн наполняется через первую трубу за 4 ч, а через вторую — за 6 ч. Какую часть бассейна останется наполнить после совместной работы обеих труб в течение часа?

383. Новая машина может выкопать канаву за 8 ч, а старая — за 12 ч. Новая машина работала 3 ч, а старая 5 ч. Какую часть канавы осталось выкопать?

384. От ленты длиной 8 м отрезали кусок длиной м. Найдите длину оставшейся части.

385. Одна шахматная партия длилась ч, а другая — ч. Сколько времени длилась третья партия, если на все три партии было затрачено 3 ч?

386. Когда от верёвки отрезали кусок, то оставшаяся часть имела длину 2 м. Какой длины была бы оставшаяся часть, если бы от верёвки отрезали на м меньше? на м больше?

387. Запишите все числа, знаменатель дробной части которых равен 12, большие и меньшие .

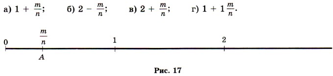
388. На координатном луче отмечена точка (рис. 17). Отметьте на луче точки, координаты которых равны:

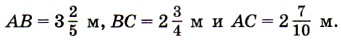
389. Найдите периметр треугольника АБС, если

390. На одной машине т груза, а на другой на т меньше. Сколько тонн груза на двух машинах?

391. В одном ящике кг винограда, что на кг меньше, чем в другом ящике. Сколько килограммов винограда в двух ящиках?

392. На окраску оконных рам израсходовали кг краски, на окраску пола пошло кг, а на окраску дверей потребовалось кг меньше, чем на окраску пола. Сколько всего израсходовали краски?

393. Три бригады вырастили горох на площади га. Первая и вторая бригады вырастили горох на площади га, а вторая и третья — на площади га. Найдите площадь каждого участка.

394. На сахарный завод в понедельник привезли т свёклы, во вторник — на т больше, чем в понедельник, а в среду — на т меньше, чем во вторник и понедельник вместе. Из 7 т свёклы получается 1 т сахара. Сколько сахара получится из привезённой свёклы?

395. В трёх бидонах 10 л молока. В первом и втором бидонах было л, а во втором и третьем — л молока. Сколько литров молока было в каждом бидоне?

396. Теплоход по течению реки проходит км за 1 ч. Скорость течения км/ч. Найдите скорость теплохода против течения.

397. Скорость катера по течению реки км/ч, а против течения км/ч. Какова скорость течения?

398. Федя и Вася шли навстречу друг другу. Каждый час расстояние между ними уменьшалось на км. Найдите скорость Феди, если скорость Васи км/ч.

399. Первый велосипедист догонял второго, причём расстояние между ними уменьшалось каждый час на км. С какой скоростью ехал первый велосипедист, если второй ехал со скоростью км/ч?

400. Найдите значение выражения:

401. Вычислите устно:

402. Найдите пропущенные числа на рисунке:

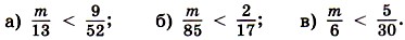
403. Найдите натуральные значения m, при которых верно неравенство:

404. На сколько процентов увеличится объём куба, если длину каждого его ребра увеличить на 20%?

405. Почтовый самолёт поднялся с аэродрома в 10 ч 40 мин утра, пробыл в полёте 5 ч 15 мин, а на земле во время стоянки 1 ч 37 мин. Когда самолёт вернулся на аэродром?

406. Четырёхугольник с равными сторонами называют ромбом (рис. 18). Подумайте, является ли ромб правильным многоугольником. В чём сходство решения этой задачи с нахождением решений двойного неравенства 0 < у < 10 среди чисел 0,12; 15; 2,7; 10,5?

Рис. 18

<<< К началу      Окончание >>>

 

 

???????@Mail.ru