Главная >> Математика 6 класс. Виленкин

§ 3. Умножение и деление обыкновенных дробей

14. Нахождение дроби от числа (продолжение)

494. Проложено 75% газопровода, длина которого будет 102,8 км. Сколько километров газопровода осталось проложить?

495. Длина комнаты 6 м. Ширина составляет длины, высота составляет 0,6 ширины. Найдите площадь и объём этой комнаты.

496. Площадь огорода 0,04 га. Капустой засажено 0,8 огорода, а остальная часть — другими овощами. Сколько гектаров засажено другими овощами?

497. Число жителей города 750 тыс. человек. Ежегодно население в нём увеличивается на 2%. Сколько жителей будет в городе через год? через два года?

498. По норме рабочий должен изготовить 45 деталей. Он выполнил норму на 120%. Сколько деталей изготовил рабочий?

499. Глубина горного озера к началу лета была 60 м. За июнь его уровень понизился на 15%, а в июле оно обмелело на 12% от уровня июня. Какова стала глубина озера к началу августа?

500. В первый день Ира прочитала всей книги, во второй — оставшейся части. Какую часть всей книги Ира прочитала во второй день? Какую часть книги Ира прочитала за два дня?

501. В овощную палатку привезли т картофеля. В первый день продали 0,6 всего привезённого картофеля, а во второй день продали того количества, которое было продано в первый день. Какая часть всего привезённого картофеля была продана во второй день? Сколько тонн картофеля было продано во второй день?

502. На автобазе были грузовые и легковые автомашины. Грузовые автомашины составляли всех машин, легковых автомашин были «Волги», а остальные автомашины — «Москвичи». Какую часть всех машин автобазы составляли «Москвичи»?

503. До обеда путник прошёл 0,75 намеченного пути, а после обеда он прошёл пути, пройденного до обеда. Прошёл ли путник за день весь намеченный путь?

504. На ремонт тракторов в зимнее время было затрачено 39 дней, а на ремонт комбайнов — на 7 дней меньше. Время ремонта прицепного инвентаря составило того времени, которое ушло на ремонт комбайнов. На сколько дней больше длился ремонт тракторов, чем ремонт прицепного инвентаря?

505. В первую неделю бригадой было выполнено 30% месячной нормы, во вторую неделю — 0,8 того, что было выполнено в первую неделю, а в третью неделю — того, что выполнили во вторую неделю. Сколько процентов месячной нормы осталось выполнить бригаде в четвёртую неделю?

506. Найти несколько процентов от числа можно с помощью микрокалькулятора. Например, найти 32,5 % от числа 6,24 можно по программе Выполните действия по этой программе.

Найдите с помощью микрокалькулятора:

а) 0,5% от 18,24;        б) 97% от 16,8.

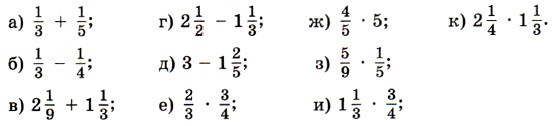
507. Вычислите устно:

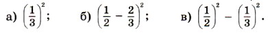
508. Найдите значение выражения:

509. К какому числу надо прибавить чтобы получить

Найдите пропущенные числа:

Рис. 24

511. Папа начинает работу в 7 ч 15 мин, а мама — в 9 ч. Когда заканчивает работу каждый из них, если рабочий день папы 8 ч 15 мин и перерыв на обед 1 ч, а рабочий день мамы 7 ч и перерыв на обед ч?

512. Нужно срочно доставить 9 пакетов в пункты, указанные на плане звёздочкой (рис. 24). Посыльный, посмотрев на план, быстро сообразил, как ему ехать. Он вручил пакеты, объехав пункты, ни разу не проезжая дважды одним и тем же путём. Какой маршрут выбрал посыльный?

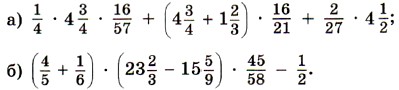
513. Выполните действие:

514. Найдите значение выражения:

515. Между какими последовательными натуральными числами расположены числа

516. Найдите какие-нибудь три решения неравенства:

а) х < 1;      б) 3 < х < 5;      в) 4 < х < 5.

517. В шестом классе учатся 25 человек. Сколькими способами можно выбрать из них двух представителей в совет школы?

518. Скорость полёта вороны 40 км/ч. Скорость полёта скворца в раза больше скорости вороны, а скорость голубя в раза больше скорости скворца. Найдите скорость полёта голубя.

519. Основанием прямоугольного параллелепипеда служит квадрат со стороной 1,1 дм. Найдите высоту параллелепипеда, если его объём 2,42 дм3.

<<< К началу      Окончание >>>

 

 

???????@Mail.ru