Главная >> Математика 6 класс. Виленкин

§ 3. Умножение и деление обыкновенных дробей

15. Применение распределительного свойства умножения (окончание)

560. В баке автомобиля 60 л бензина. За день было израсходовано 25 % этого бензина. Сколько бензина израсходовали? Сколько бензина осталось в баке?

561. В саду 30 плодовых деревьев. Яблони составляют 0,6 всех деревьев. Сколько яблонь в саду? Сколько в саду других плодовых деревьев?

562. Турист прошёл в первый день всего намеченного пути. Причём до обеда он прошёл пути, пройденного за этот день. Какую часть всего о намеченного пути прошёл турист в первый день до обеда?

563. В первый день со склада вывезли 40% имевшегося там угля. Во второй день было вывезено 75% остатка. Сколько процентов всего имевшегося на складе угля вывезли во второй день? Сколько процентов всего имевшегося там угля осталось?

564. В магазин привезли 658 кг персиков. В первый день продали всех персиков, а во второй день — 0,3 оставшихся персиков. Сколько килограммов персиков продали во второй день?

565. Найдите значение выражения:

566. Выполните действия:

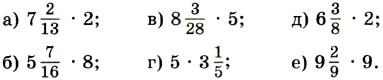
567. Выполните умножение:

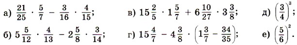
568. Найдите значение выражения:

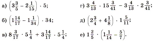
569. Упростите и найдите значение выражения:

570. Турист шёл 3 ч со скоростью км/ч и 3 ч со скоростью км/ч. Сколько километров прошёл турист за эти 6 ч?

571. В первом ящике кг сахара, а во втором — в 2 раза больше. Сколько сахара будет во втором ящике, если в него положить ещё кг?

572. Олег решал уравнение в течение ч. Задачу он решал на ч дольше, чем уравнение. Сколько времени Олег решал уравнение и задачу?

573. После удачной рыбалки Костя принёс домой 1,4 кг рыбы. Из у этой рыбы сварили уху, а 80% оставшейся — поджарили. Сколько рыбы поджарили?

574. В первый день маслобойня переработала поступившего количества семян подсолнечника, во второй день — 0,6 остатка. Сколько тонн семян подсолнечника переработала маслобойня за эти два дня, если было привезено с т семян? Найдите значение получившегося выражения при с = 90; 63.

575. Фабрика выпустила m м ткани трёх цветов: голубого, зелёного и чёрного. Ткань голубого цвета составляла 30% всей выпущенной ткани. Ткань зелёного цвета составляла 0,8 количества ткани голубого цвета. Сколько метров ткани чёрного цвета выпустила фабрика? Найдите значение получившегося выражения при m = 5520; 22 000.

576. Найдите значение выражения:

<<< К началу

 

 

???????@Mail.ru