Главная >> Математика 6 класс. Виленкин

§ 3. Умножение и деление обыкновенных дробей

16. Взаимно обратные числа (окончание)

584. Верно ли выполнены вычисления:

Ответ объясните.

Рис. 28

585. На озере находятся 7 островов, которые соединены между собой мостами так, как показано на рисунке 28. На какой остров должен доставить катер путешественников, чтобы они могли пройти по каждому мосту и только один раз? С какого острова катер должен снять этих людей? Почему нельзя доставить путешественников на остров А?

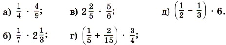
586. Выполните умножение:

587. Найдите значение выражения:

588. За три дня турист прошёл 40 км. В первый день он прошёл 40%, а во второй день — 30% всего пути. Сколько километров прошёл турист в третий день?

589. Среднее арифметическое трёх чисел равно 3,1. Найдите эти числа, если второе число больше первого на 0,9, а третье число больше первого в 2 раза.

590. Выполните действия:

1) (7,061 : 2,3 - 2,2) • (4,2 + 17,391 : 5,27);

2) (3,7 + 14,058 : 6,39) • (23,641 : 4,7 - 4,6).

591. Найдите числа, обратные числам:

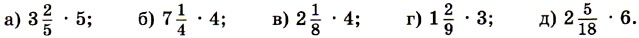
592. Выполните действия:

593. Положили сушить 150 кг вишни. После сушки их масса уменьшилась на 80 %. Сколько килограммов вишни получилось после сушки?

594. Среднее арифметическое четырёх чисел 2,75. Найдите эти числа, если второе больше первого в 1,5 раза, третье больше первого в 1,2 раза и, наконец, четвёртое больше первого в 1,8 раза.

595. Найдите значение выражения:

а) 208,57 - 108,57 : ((60,4 - 57,6) • (3,6 + 3,45));

б) 565,3 - 465,3 : ((1,25 + 5,8) • (55,8 - 49,2)).

<<< К началу

 

 

???????@Mail.ru