Главная >> Математика 6 класс. Виленкин

§ 3. Умножение и деление обыкновенных дробей

17. Деление (продолжение)

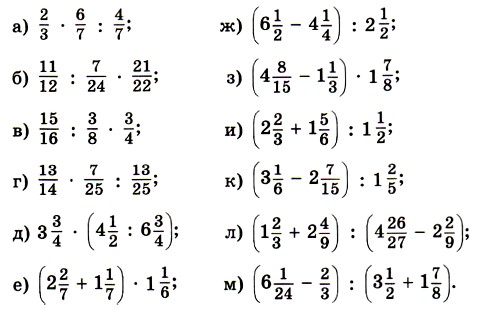
607. Выполните действия:

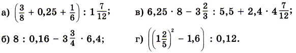
608. Найдите значение выражения:

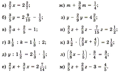
609. Решите уравнение:

610. Коля и Митя нашли 64 гриба. Коля нашёл в раза больше грибов, чем Митя. Сколько грибов нашёл каждый?

611. Луч ОМ разделил угол СОК, равный 90°, на два угла СОМ и МОК. Угол СОМ больше угла МОК в раза. Чему равны углы СОМ и МОК? Постройте эти углы с помощью транспортира.

612. Отец старше сына в раза, а сын моложе отца на 28 лет. Сколько лет отцу и сколько лет сыну?

613. За два дня турист прошёл 26 км. Путь, пройденный в первый день, составлял пути, пройденного во второй день. Сколько километров прошёл турист в каждый из этих дней?

614. Белка с бельчонком запасли на зиму 350 грибов. Бельчонок собрал 75% числа грибов, собранных белкой. Сколько грибов собрала белка и сколько бельчонок?

615. Первый плотник сделал на 9 оконных рам меньше, чем второй. Сколько рам сделал каждый плотник, если число рам, сделанных первым плотником, составляет числа рам, сделанных вторым?

616. Два пешехода вышли одновременно навстречу друг другу из двух пунктов, расстояние между которыми 5 км. Скорость первого пешехода составляла скорости второго. Найдите скорости каждого пешехода, если они встретились через полчаса.

617. Мотоциклист стал догонять велосипедиста, когда между ними было 33 км, и догнал его через Известно, что скорость велосипедиста составляла скорости мотоциклиста. Найдите скорости мотоциклиста и велосипедиста.

618. Геологи ехали на автомашине и двигались пешком. Весь их путь оказался равным 225 км. С какой скоростью геологи шли пешком и с какой — ехали на автомашине, если они проехали в 14 раз больший путь, чем прошли пешком?

619. В бочонке и бидоне 80 л кваса. В бидоне количества кваса, находящегося в бочонке. Квас из бочонка разлили в 20 кувшинов, а из бидона — в 32 банки. Где больше кваса: в одном кувшине или в одной банке? На сколько литров?

620. Турист 3 ч шёл пешком со скоростью 5 км/ч, а далее 4 ч он ехал на поезде, скорость которого в 12 раз больше. Оставшийся путь турист проехал на автобусе за 8 ч. С какой средней скоростью двигался турист за время путешествия, если скорость автобуса составляла скорости поезда?

621. Вычислите устно:

622. Найдите число, обратное дроби: Сравните данное число и ему обратное.

623. Существует ли число:

а) обратное самому себе;       б) не имеющее обратного?

624. Не выполняя умножения, сравните:

625. Кроме неравенств со знаками > и <, которые называют строгими, используют нестрогие неравенства, для которых введены знаки ≥ (больше или равно) и ≤ (меньше или равно). Неравенства 3 ≤ 4 и 5 ≤ 5 верные, так как одно из условий выполнено: 3 меньше, чем 4; 5 равно 5.

Подумайте, какие натуральные числа являются решениями неравенства:

а) х ≤ 4;      б) 5 ≤ х ≤ 9;      в) 3 < х ≤ 5.

<<< К началу      Окончание >>>

 

 

???????@Mail.ru