Главная >> Математика 6 класс. Виленкин

§ 3. Умножение и деление обыкновенных дробей

19. Дробные выражения (продолжение)

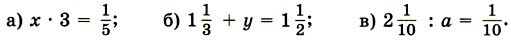
697. Выполните действия:

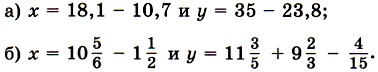
698. Найдите значение выражения если:

699. Найдите значение выражения если:

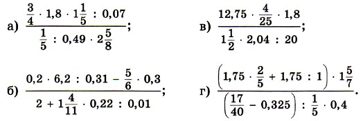
700. Найти с помощью микрокалькулятора значение выражения можно по программе:

а значение выражения по такой программе:

Выполните вычисления по этим программам.

Постройте программу нахождения значения выражения и выполните по ней вычисления:

701. Вычислите устно:

702. На координатном луче отмечены числа а и b (рис. 30). Можно ли указать на луче точку с координатой

Рис. 30

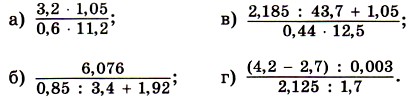
703. Вычислите:

704. Найдите произведение дробей и произведение дробей, обратных данным. Каким свойством обладают эти два произведения? Проверьте ваше предположение ещё на одном примере. Докажите это свойство в общем виде (с помощью буквенных выражений).

705. Найдите наибольшее и наименьшее значения выражения если

706. Составьте задачу по уравнению:

707. Ваня и Таня должны были встретиться на станции, чтобы вместе поехать на поезде, который отправляется в 8 ч утра. Ваня думает, что его часы спешат на 35 мин, хотя в действительности они отстают на 15 мин. А Таня думает, что её часы отстают на 15 мин, хотя они на самом деле спешат на 10 мин. Что произойдёт, если каждый из них, полагаясь на свои часы, будет стремиться прийти за 5 мин до отхода поезда?

708. Возраст Серёжи составляет возраста отца. Серёже 12 лет. Сколько лет отцу?

709. Комбайнер за 1 ч скосил пшеницу с площади 3 га, что составляет 15% того, что он скосил за день. Какую площадь скосил комбайнер за день?

710. Груши составляют 25% всех деревьев сада, остальные 150 деревьев — яблони. Сколько грушевых деревьев в саду?

711. Площадь 60 га составляет 0,75 площади поля. Чему равна площадь поля?

712. Найдите число, если:

713. Участок земли, площадь которого 6 а, составляет сада, а площадь сада составляет всего приусадебного участка. Чему равна площадь всего приусадебного участка?

714. По плану бригада должна отремонтировать за месяц 25% дороги между двумя посёлками. За первую неделю отремонтировали 2 км 100 м дороги, что составило 30% месячного плана. Какова длина всей дороги между посёлками?

<<< К началу      Окончание >>>

 

 

???????@Mail.ru