Главная >> Математика 6 класс. Виленкин

§ 5. Положительные и отрицательные числа

28. Модуль числа (окончание)

956. Напишите все числа, имеющие модуль:

957. Известно, что |а| = 7. Чему равен |-а|?

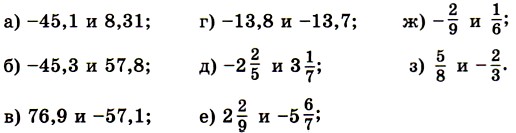
958. Из двух чисел выберите то, у которого модуль больше:

959. Среди чисел укажитепары: противоположных чисел; б) обратных чисел.

960. Вычислите устно:

961. Какое из чисел на координатной прямой расположено правее: -2 или -1; -6 или -7; 0 или -4,2; -11 или -15?

962. На рисунке 64, а изображён конус. Основание конуса — круг, а развёртка боковой поверхности — сектор (см. рис. 64, б). Вычислите площадь поверхности конуса, если радиус его основания 3 см, а развёртка боковой поверхности — сектор с прямым углом, радиус этого сектора 12 см. Есть ли в условии задачи лишние данные?

965. Нина купила на платье 4,8 м ткани. Сколько метров ткани купила Оля, если известно, что Нина купила:

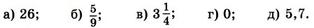
966. Найдите значение выражения:

967. Отметьте на координатной прямой числа, модули которых равны 3; 8; 1; 3,5;

968. Из двух чисел выберите то, у которого больше модуль:

969. Площадь первого поля составляет площади второго поля. Чему равна площадь второго поля, если площадь первого 12,6 га?

970. На соревнованиях по бегу Иванов пробежал дистанцию за 73,2 с и его время составило 75% времени, показанного Сергеевым. Кто из них быстрее преодолел дистанцию? Какой результат показал Сергеев?

971. Скорость грузовика составила скорости легковой автомашины. Найдите скорость легковой автомашины, если скорость грузовика на 22 км/ч меньше скорости легковой автомашины.

972. Урожайность хлопка на первом поле на 12,5% меньше урожайности хлопка на втором поле. Какова урожайность хлопка на первом поле, если на втором поле она равна 28 ц с гектара?

973. Найдите значение выражения

<<< К началу      Ответы >>>

 

 

???????@Mail.ru