Главная >> Математика 6 класс. Виленкин

§ 6. Сложение и вычитание положительных и отрицательных чисел

32. Сложение отрицательных чисел

Пусть температура воздуха была равна -6°С, а потом она изменилась на -3°С (т. е. понизилась на 3°С). Тогда она станет равной -6 + (-3) градусам (рис. 80). Чтобы сложить числа -6 и -3 с помощью координатной прямой, надо точку А (-6) переместить влево на 3 единичных отрезка (рис. 81). Получим точку В(-9).

Значит, -6 + (-3) = -9.

Но 9 = 6 + 3, причём 6 = | —6|, а 3 = |-3|.

  • Чтобы сложить два отрицательных числа, надо: 1) сложить их модули; 2) поставить перед полученным числом знак «-».

Например,


Сформулируйте правило сложения отрицательных чисел.
Может ли при сложении отрицательных чисел получиться нуль? отрицательное число?


1043. Число -2 изменили на -5. С какой стороны от начала отсчёта расположено полученное число? Чему равно его расстояние от начала отсчёта? Чему равна сумма чисел -2 и -5?

1044. В первую половину ночи температура изменилась на -5°С, во вторую — на -4°С. На сколько градусов изменилась температура за ночь?

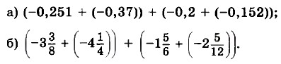
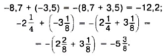
1045. Выполните сложение:

1046. Поставьте вместо * знак < или > так, чтобы получилось верное неравенство:

а) -17 + (-31) * -17;      б) -22 + (-35) * -35.

1047. Найдите значение выражения х + у + (-16), если:

1048. Найдите значение выражения:

1049. Вычислите устно:

Окончание >>>

 

 

???????@Mail.ru