Главная >> Математика 6 класс. Виленкин

§ 6. Сложение и вычитание положительных и отрицательных чисел

33. Сложение чисел с разными знаками (продолжение)

1061. Число 6 изменили на -10. С какой стороны от начала отсчёта расположено получившееся число? На каком расстоянии от начала отсчёта оно находится? Чему равна сумма 6 и -10?

1062. Число 10 изменили на -6. С какой стороны от начала отсчёта расположено получившееся число? На каком расстоянии от начала отсчёта оно находится? Чему равна сумма 10 и -6?

1063. Число -10 изменили на 3. С какой стороны от начала отсчёта расположено получившееся число? На каком расстоянии от начала отсчёта оно находится? Чему равна сумма -10 и 3?

1064. Число -10 изменили на 15. С какой стороны от начала отсчёта расположено получившееся число? На каком расстоянии от начала отсчёта оно находится? Чему равна сумма -10 и 15?

1065. В первую половину дня температура изменилась на -4°С, а во вторую — на +12 °С. На сколько градусов изменилась температура в течение дня?

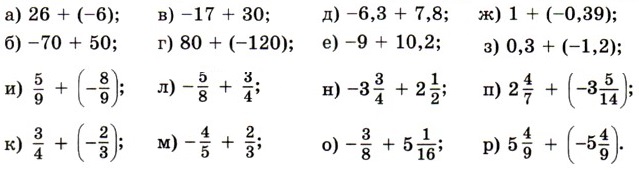
1066. Выполните сложение:

1067. Прибавьте:

а) к сумме -6 и -12 число 20;
б) к числу 2,6 сумму -1,8 и 5,2;
в) к сумме -10 и -1,3 сумму 5 и 8,7;
г) к сумме 11 и -6,5 сумму -3,2 и -6.

1068. Какое из чисел 8; 7,1; -7,1; -7; -0,5 является корнем уравнения -6 + х = -13,1?

1069. Угадайте корень уравнения и выполните проверку:

а) х + (-3) = -11;       в) m + (-12) = 2;
б) -5 + у = 15;       г) 3 + n = -10.

1070. Найдите значение выражения:

1071. Выполните действия с помощью микрокалькулятора:

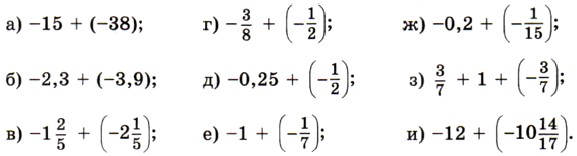
1072. Найдите значение суммы:

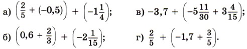
1073. Найдите значение выражения:

1074. Сколько целых чисел расположено между числами: а) 0 и 24; б) -12 и -3; в) -20 и 7?

1075. Представьте число -10 в виде суммы двух отрицательных слагаемых так, чтобы:

а) оба слагаемых были целыми числами;
б) оба слагаемых были десятичными дробями;
в) одно из слагаемых было правильной обыкновенной дробью.

<<< К началу      Окончание >>>

 

 

???????@Mail.ru