Главная >> Математика 6 класс. Виленкин

§ 7. Умножение и деление положительных и отрицательных чисел

38. Свойства действий с рациональными числами (окончание)

1222. Сравните:

а) 23 и З2;     б) (-2)3 и (- З)2;     в) 13 и 12;     г) (-1)3 и (-1)2.

1224. Решите задачу:

1) Мотоциклист догоняет велосипедиста. Сейчас между ними 23,4 км. Скорость мотоциклиста в 3,6 раза больше скорости велосипедиста. Найдите скорости велосипедиста и мотоциклиста, если известно, что мотоциклист догонит велосипедиста через

2) Легковая автомашина догоняет автобус. Сейчас между ними 18 км. Скорость автобуса составляет скорости легковой автомашины. Найдите скорости автобуса и легковой автомашины, если известно, что легковая автомашина догонит автобус через

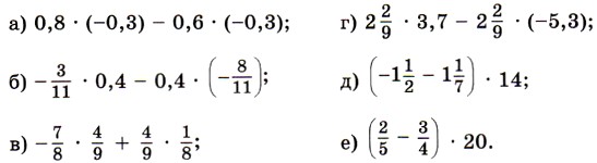
1225. Найдите значение выражения:

Проверьте ваши вычисления с помощью микрокалькулятора.

1226. Выбрав удобный порядок вычислений, найдите значение выражения:

1227. Упростите выражение:

1228. Найдите значение выражения:

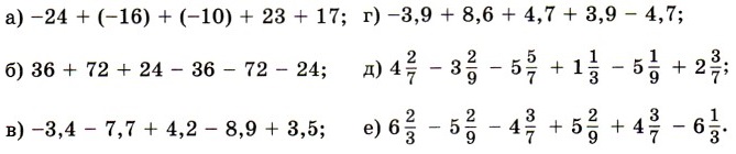
1229. Выполните действия:

1230. По плану метростроевцы должны были проложить 2,5 км тоннелей. Они проложили 3,2 км тоннелей. На сколько процентов метростроевцы выполнили план и на сколько процентов они перевыполнили план?

1231. Автомашина прошла 240 км. Из них 180 км она шла по просёлочной дороге, а остальной путь — по шоссе. Расход бензина на каждые 10 км просёлочной дороги составил 1,6 л, а по шоссе — на 25% меньше. Сколько литров бензина в среднем расходовалось на каждые 10 км пути?

1232. Выезжая из села, велосипедист заметил на мосту пешехода, идущего в том же направлении, и догнал его через 12 мин. Найдите скорость пешехода, если скорость велосипедиста 15 км/ч, а расстояние от села до моста 1 км 800 м.

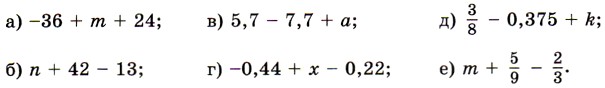
1233. Выполните действия:

<<< К началу

 

 

???????@Mail.ru