Главная >> Математика 6 класс. Виленкин

§ 8. Решение уравнений

40. Коэффициент (окончание)

1265. На координатной прямой (рис. 92) отмечены числа а и b. Определите знак произведения аb.

1266. Найдите произведение всех целых чисел:

1267. Каким числом будет произведение ху, если:

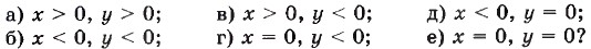
1268. Найдите наименьшее целое положительное и наибольшее целое отрицательное решение неравенства:

1269. Найдите значение выражения:

1270. Вычислите:

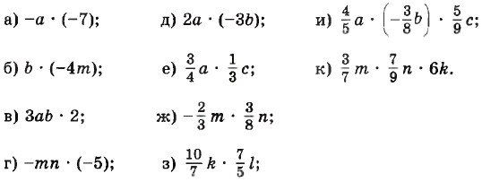
1271. Найдите значение выражения:

1272. Напишите сумму двух выражений и упростите её:

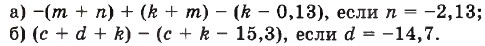
1273. Напишите разность двух выражений и упростите её:

1274. Найдите значение выражения:

1275. Упростите выражение и подчеркните его числовой коэффициент:

1276. Выполните действия:

1277. Решите уравнение:

1278. Из 3,2 кг ржаной муки получается 4,48 кг хлеба. Сколько муки расходует хлебозавод на выпечку 28 т хлеба?

1279. Стены дома 8 каменщиков сложили за 42 дня. Сколько нужно каменщиков, чтобы сложить стены такого же дома за 28 дней?

1280. Выполнив план на 25%, трактористы вспахали 144 га. Сколько земли нужно вспахать, чтобы выполнить 65% плана?

<<< К началу

 

 

???????@Mail.ru