Главная >> Математика 6 класс. Виленкин

§ 8. Решение уравнений

41. Подобные слагаемые (окончание)

1302. Найдите значение выражения:

1) -3,4 • 7,1 - 3,6 • 6,8 + 9,7 • 8,6;

2) -4,1 • 8,3 + 2,5 • 7,9 - 3,9 • 4,2.

1303. Решите с помощью графа задачу: «Марина, Лариса, Жанна и Катя умеют играть на разных инструментах (пианино, виолончели, гитаре, скрипке), но каждая только на одном. Они же знают иностранные языки (английский, французский, немецкий, испанский), но каждая только один. Известно: 1) девушка, которая играет на гитаре, говорит по- испански; 2) Лариса не играет ни на скрипке, ни на виолончели и не знает английского языка; 3) Марина не играет ни на скрипке, ни на виолончели и не знает ни немецкого, ни английского языка; 4) девушка, которая говорит по-немецки, не играет на виолончели; 5) Жанна знает французский язык, но не играет на скрипке. Кто на каком инструменте играет и какой иностранный язык знает?»

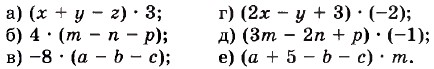
1304. Раскройте скобки:

1305. Найдите значение выражения, применив распределительное свойство умножения:

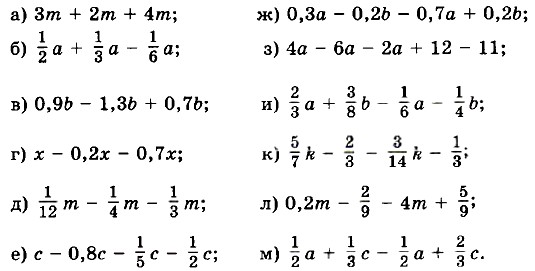
1306. Приведите подобные слагаемые:

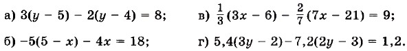
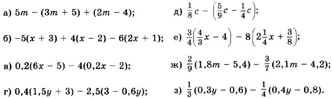
1307. Раскройте скобки и приведите подобные слагаемые:

1308. Решите уравнение:

1309. Группа туристов 1 ч ехала на автобусе, а затем 6 ч шла пешком со скоростью на 18 км/ч меньшей, чем скорость автобуса. Всего группа преодолела 67 км. Найдите скорость автобуса и туристов в пешем походе.

1310. В трёх классах 71 учащийся. В первом классе учащихся на 4 человека больше, чем во втором, и на 3 человека меньше, чем в третьем классе. Сколько учащихся в каждом классе?

1311. Определите масштаб карты, если расстояние между двумя пунктами на местности 750 м, а на карте 25 мм.

1312. Какой длины отрезком изображается на карте расстояние 6,5 км, если масштаб карты 1 : 25 000?

1313. На карте отрезок имеет длину 12,6 см. Какова длина этого отрезка на местности, если масштаб карты 1 : 150 000?

<<< К началу

 

 

???????@Mail.ru