Главная >> Математика 6 класс. Виленкин

§ 8. Решение уравнений

42. Решение уравнений (продолжение)

1317. С помощью умножения обеих частей уравнения на одно и то же число освободитесь от дробных чисел и решите уравнение:

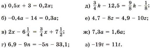
1318. Решите уравнение и выполните проверку:

1319. Найдите корень уравнения:

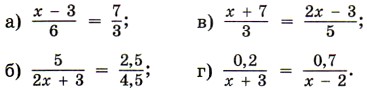
1320. Решите уравнение, используя основное свойство пропорции:

1321. В первом бидоне в 3 раза больше молока, чем во втором. Если из первого перелить 20 л во второй, то молока в бидонах будет поровну. Сколько молока в каждом бидоне?

1322. Длина отрезка АВ на 2 см больше, чем длина отрезка CD. Если длину отрезка АВ увеличить на 10 см, а длину отрезка CD увеличить в 3 раза, то получатся равные результаты. Найдите длину отрезка АВ.

1323. Автобус проходит расстояние от города до села за 1,8 ч, а легковая автомашина — за 0,8 ч. Найдите скорость автобуса, если известно, что она меньше скорости легковой автомашины на 50 км/ч.

1324. На первую автомашину погрузили на 0,6 т зерна больше, чем на вторую. Если бы на первую автомашину погрузили в 1,2 раза больше, а на вторую в 1,4 раза больше, то груза на обеих автомашинах было бы поровну. Сколько тонн груза погрузили на каждую автомашину?

1325. В спортивном лагере прибывших туристов разместили в гостинице, — в летних домиках, а остальных 75 туристов — в палатках. Сколько туристов прибыло в спортивный лагерь?

1326. В школьной библиотеке есть художественная, научно-популярная и справочная литература. Число книг с художественными произведениями составляет всех книг библиотеки, число научно-популярных книг составляет от числа художественных, а остальные 160 книг — справочники. Сколько всего книг в библиотеке?

1327. Три завода получили заказ на изготовление моторов. Первый завод выполнил 0,56 всего заказа, второй — того, что выполнил первый завод, а третий завод изготовил остальные 240 моторов. Сколько всего моторов изготовили все три завода?

1328. Верёвку длиной 63 м разрезали на два куска так, что 0,4 длины первого куска были равны 0,3 длины второго куска. Найдите длину каждого куска верёвки.

1329. На отливку блока объёмом 2,5 м3 требуется 5,5 т бетона. На сколько увеличится расход бетона при отливке блока объёмом 2,9 м3?

1330. В растворе содержится 40% соли. Если добавить 120 г соли, то в растворе будет содержаться 70% соли. Сколько граммов соли было в растворе первоначально?

1331. Вычислите устно:

1332. При каких значениях а верно неравенство:

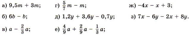
1333. Приведите подобные слагаемые:

1334. Упростите выражение:

1335. Расфасовочная машина может всю привезённую продукцию обработать за 20 ч. Определите: а) какую часть всей продукции она обработает за 1 ч; б) сколько процентов всей продукции она обработает за 1 ч; в) какую часть всей продукции она обработает за 8 ч; г) сколько процентов всей продукции она обработает за 9 ч.

1336. За какое время всё свекловичное поле уберёт уборочная машина, если известно, что она за 1 ч убирает: а) 5 % всего поля; б) всего поля; в) 0,4 всего поля?

1337. За какое время двигатель израсходует весь бензин из бака, если он: а) за 3 ч расходует 12% всего бензина; б) за 3 ч расходует всего бензина; в) за 6 ч расходует 0,24 всего бензина?

<<< К началу      Окончание >>>

 

 

???????@Mail.ru