Главная >> Математика 6 класс. Виленкин

§ 9. Координаты на плоскости

47. Графики (окончание)

1458. Масса трёх сазанов 10,8 кг. Масса третьего сазана составляла 50% массы первого, масса второго — в 1,5 раза больше массы первого. Найдите массу каждого сазана.

1459. Моторная лодка прошла вверх по реке 60 км, а вниз 150 км. Найдите среднюю скорость лодки на всём пути, если её собственная скорость 20 км/ч, а скорость течения 4 км/ч.

1460. Решите задачу:

1) Привезённый картофель распределили между тремя магазинами. Первыи магазин получил привезенного картофеля, второй — привезенного картофеля, а третий — остальные 21т картофеля. Сколько тонн картофеля было привезено?

2) Трём машинисткам было поручено перепечатать рукопись книги. Первая машинистка перепечатала всей рукописи, вторая — всей рукописи, а третья — остальные 60 страниц. Сколько страниц было в рукописи?

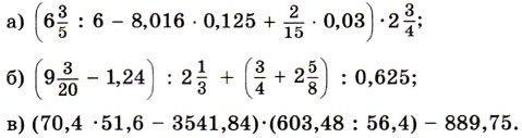
1461 Найдите значение выражения:

1462. На рисунке 134 показан график температуры воды в электрическом самоваре. На прямой х откладывали время в минутах после включения самовара, а на прямой у — температуру воды в градусах Цельсия. Определите по графику:

    а) температуру воды через 20 мин после включения самовара;
    б) момент закипания воды в самоваре;
    в) сколько минут кипела вода в самоваре;
    г) когда температура воды в самоваре была 88 °С.

1463. В двух альбомах 750 марок, причём в первом альбоме имевшихся марок составляли иностранные марки. Во втором альбоме иностранные марки составляли 0,9 имевшихся там марок. Сколько всего марок было в каждом альбоме, если число иностранных марок в них было одинаково?

1464. Катер прошёл от одной пристани до другой 240 км и вернулся обратно. Найдите среднюю скорость катера на всём пути, если его собственная скорость 18 км/ч, а скорость течения 2 км/ч.

1465. В один из дней после уроков в школе всех учащихся пошли на олимпиаду по математике, всех учащихся — в спортивные секции, а остальные 142 ученика отправились домой. Сколько всего учащихся в школе, если в этот день не было пропустивших уроки?

1466. На рисунке 135 изображён график движения поезда. Определите по графику:

    а) какое расстояние прошёл поезд за первые 2 ч;
    б) сколько минут поезд стоял на каждой остановке;
    в) каково расстояние между остановками поезда;
    г) среднюю скорость движения за 3 ч.

1467. На рисунке 136 изображён график движения. Придумайте рассказ к этому графику.

1468. Найдите значение выражения:

<<< К началу

 

 

???????@Mail.ru