Главная >> Математика 6 класс. Виленкин

§ 9. Координаты на плоскости

48. Вопросы и задачи на повторение (окончание)

1550. На сколько процентов изменится площадь прямоугольника с измерениями 30 см и 20 см, если большую сторону увеличить на 10%, а другую уменьшить на 10 %? Есть ли лишние данные в условии задачи?

1551. После первого усовершенствования производительность станка возросла на 10 %, а после второго — ещё на 10 %. На сколько процентов возросла производительность станка в результате двух усовершенствований?

1552. За первый год было построено дороги от колхоза к шоссе, за следующий год построили дороги, а за третий год — остальные км. Какой длины дорога?

1553. В кафе в первый день продали имевшегося сока, во второй — остатка. Сколько литров сока было в кафе, если во второй день продали 60 л?

1554. Фермер привёз на мельницу 3 мешка пшеницы. В первый мешок вошло всей полученной пшеницы, во второй — всей пшеницы, а в третий — на 10 кг больше, чем во второй. Сколько килограммов пшеницы привёз фермер на мельницу? Сколько килограммов муки получилось из этого зерна, если 9% ушло в отходы?

1555. Двум машинисткам было поручено перепечатать рукопись. Первая машинистка перепечатала всей рукописи, а вторая всей рукописи. Сколько страниц было в рукописи, если первая машинистка перепечатала на 7 страниц больше, чем вторая? Вся ли рукопись была перепечатана?

1556. Масло перелили из бака в 3 бидона. В первый бидон вошло всего масла, во второй — всего масла, а в третий — на 6 л меньше, чем в первый бидон. Сколько масла было в баке?

1557. Типография израсходовала за два дня 60% всей полученной бумаги, причём во второй день было израсходовано бумаги в раза больше, чем в первый день. Сколько бумаги израсходовала типография в первый день, если было получено т бумаги?

1558. За день было продано 75% всего завезённого картофеля. До обеденного перерыва было продано картофеля, проданного после обеденного перерыва. Сколько картофеля продано до перерыва и сколько после перерыва, если было завезено т картофеля?

1559. В классе за контрольную работу по математике 8 учеников получили оценку «5», 18 учеников — «4», 12 учеников — «3», а несколько учеников получили оценку «2». Сколько учеников получили оценку «2», если средний балл класса за контрольную работу равен 3,8?

1560. Выполните действие:

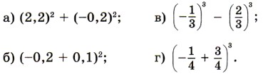
1561. Найдите значение выражения:

1562. Найдите значение дробного выражения:

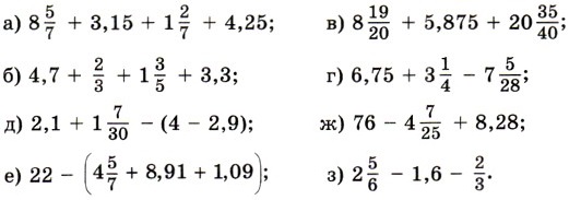
1563. Выполните действия:

1564. Найдите значение выражения:

1565. Запишите все делители числа 28 и числа 36.

1566. Запишите все двузначные числа:

а) кратные числу 17;       б) кратные числу 28.

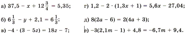
1567. Решите уравнение:

1568. На первом катере было в 2 раза больше людей, чем на втором. Когда на ближайшей пристани с первого катера сошли 98 человек, а со второго — 16 человек, то на обоих катерах людей стало поровну. Сколько человек было на каждом катере первоначально?

1569. В одном элеваторе было зерна в 3 раза больше, чем в другом. Из первого элеватора вывезли 960 т зерна, а во второй привезли 240 т, после чего в обоих элеваторах зерна стало поровну. Сколько тонн зерна было в каждом элеваторе первоначально?

1570. На железнодорожной станции стояли два состава, причём в одном из них было в 2 раза больше вагонов, чем в другом. Когда от первого состава отцепили 14 вагонов и прицепили их ко второму составу, то вагонов в составах стало поровну. Сколько вагонов было в каждом составе?

1571. Постройте в координатной плоскости треугольник MKN, если М(-7; -5), N(-3; 5), К(7; 1). Измерьте углы и стороны этого треугольника. Найдите координаты середины стороны MN.

1572. Отметьте на координатной плоскости точки А(3; 6), В(1; -4) и М(-5; 2). Проведите через точку М прямую CD, параллельную прямой АВ, и прямую EF, перпендикулярную прямой АВ.

1573. Постройте на координатной плоскости треугольник CDE, если С(-6; -2), D(3; 1) и Е(3; -2). Запишите координаты точек пересечения сторон треугольника с осями координат.

1574. На координатной плоскости отметьте точку А(-3; 0). Начертите окружность с центром А и радиусом, равным 5 единичным отрезкам. Запишите координаты пересечения этой окружности с осями координат.

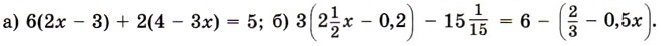
1575. Решите уравнение:

1576. На завод привезли свёклу, из которой при переработке получают 12 % сахара. Сколько получится сахара из 2629,5 тыс. т свёклы указанного сорта?

1577. Женщины составляют 34,5% всех рабочих фабрики. Остальные рабочие — мужчины. Сколько рабочих на фабрике, если мужчин на ней 262?

1578. У геологической экспедиции 40% маршрута проходили по степи, 26% — по горной местности, а остальные 102 км — по долине реки. Сколько километров маршрута экспедиции прошло по степи и сколько — по горной местности?

1579. Андрей в первый день прочитал 30% всей книги, во второй день — 25% всей книги, в третий день — остальные 180 страниц. Сколько страниц прочитал Андрей в первый день?

1580. Чтобы доставить нефть из Тюмени на Сахалин, её надо везти поездом 7150 км и по морю 550 км. После того как была построена Байкало- Амурская магистраль, путь сократился на 1000 км. На сколько процентов сократился путь?

1581. На карте железная дорога Москва — Санкт-Петербург, имеющая длину 650 км, изображена линией длиной 5 см. Какую длину на этой карте имеет линия, изображающая Байкало-Амурскую магистраль, если длина этой магистрали 3145 км?

1582. Решите уравнение:

1583. Отлитый в 1735 г. Царь-колокол, хранящийся в Московском Кремле, имеет диаметр 6,6 м. Вычислите длину окружности основания Царь-колокола.

1584. Сколько граммов семян потребуется для посева цветов на круглой клумбе диаметром 3,4 м, если на 1 м2 высевают 12 г семян?

1585. Выполните действия:

1586. В открытом грунте с га получили 800 ц огурцов, а в теплице со 100 м2 — 3200 кг. Где выше урожайность (т. е. урожай с 1 га) и на сколько процентов?

1587. В двух бригадах было поровну рабочих. Когда в первую бригаду поступило 8 человек, а из второй ушли 2 человека, в первой бригаде стало в 3 раза больше рабочих, чем во второй. Сколько рабочих было в каждой бригаде?

1588. Шаг Пети на 12 см длиннее шага Толи. Но 4 шага Пети короче 6 шагов Толи на 54 см. Найдите длину шага каждого мальчика.

1589. Найдите значение выражения:

1590. Расстояние между городом и совхозом машина прошла за 1 ч 15 мин. Если бы скорость машины была на 10 км/ч меньше, то этот путь она прошла бы за 1 ч 30 мин. Найдите скорость машины и расстояние от города до совхоза.

1591. В одном баке 840 л воды, а в другом того, что в первом. Из первого бака выливают в минуту в 3 раза больше воды, чем из второго. Через 5 мин в первом баке остаётся на 40 л воды меньше, чем во втором. Сколько литров воды выливают из каждого бака за одну минуту?

1592. Из двух сёл, расстояние между которыми 21 км, вышли одновременно навстречу друг другу мужчина и женщина. При встрече оказалось, что мужчина прошёл в раза большее расстояние, чем женщина. Через сколько часов после выхода они встретились, если скорость мужчины 6 км/ч? С какой скоростью шла женщина?

1593. Теплоход проходит за 15 ч против течения столько же, сколько за 13 ч по течению. Найдите скорость течения, если собственная скорость теплохода 70 км/ч.

1594. Найдите 4 числа, каждое из которых, начиная со второго, на 7 больше предыдущего, если среднее арифметическое их равно 25,5.

1595. Начертите треугольник АВС с прямым углом В. Как разделить этот треугольник на четыре равных треугольника?

<<< К началу

 

 

???????@Mail.ru