Главная >> Математика 6 класс. Виленкин

§2. Сложение и вычитание дробей с разными знаменателями

8. Основное свойство дроби

Рисунок 8

Разделим круг на 4 равные части и 3 из них закрасим, а потом каждую четверть круга разделим ещё на 5 равных частей (рис. 8). Тогда весь круг окажется разделённым на 4 • 5 = 20 частей, а в трёх закрашенных четвертях круга будет 3 • 5 таких частей. Поэтому

Это равенство можно записать и так:

  • Если числитель и знаменатель дроби умножить или разделить на одно и то же натуральное число, то получится равная ей дробь.

Это свойство называют основным свойством дроби.

Например,

Две равные дроби являются различными записями одного и того же числа.


Сформулируйте основное свойство дроби.
Изменится ли дробь, если её числитель и знаменатель умножить на 15, а потом разделить на 3?


211. Используя рисунок 9, объясните, почему равны дроби:

Рис. 9

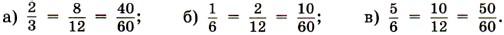
212. По рисунку 10 объясните, почему равны дроби:

Рис. 10

213. Поясните с помощью часов, почему:

214. Начертите два отрезка АВ и CD длиной по 8 см. Отметьте цветным карандашом отрезка АВ и отрезка CD. Сравните с помощью циркуля цветные части отрезков АВ и CD.

Продолжение >>>

 

 

???????@Mail.ru