Главная >> Сборник задач по физике 7-9 кл. Перышкин. Ответы

Электрические явления

42. Электрическое сопротивление проводников. Единицы сопротивления. Расчет сопротивления проводника. Удельное сопротивление

1020. Выразите в омах значения следующих сопротивлений: 500 мОм; 0,2 кОм; 80 МОм.

1021. Два провода изготовлены из одного материала и площади их сечений одинаковы. Во сколько раз сопротивление одного провода (длиной 10 м) больше сопротивления другого провода (длиной 1,5 м)?

1022. Каково сопротивление медной струны сечением 0,1 мм2 и длиной 10 м.

1023. Железная и медная проволоки равной длины имеют одинаковые сечения. Одинаково ли сопротивление проволок? Если нет, то какая из них будет иметь большее сопротивление и во сколько раз?

1024. Медный тросик имеет длину 100 м и поперечное сечение 2 мм2? Чему равно его сопротивление?

1025. В электрической цепи общая длина подводящих железных проводов сечением 1 мм2 равна 5 м. Определите сопротивление подводящих проводов.

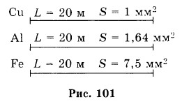
1026. На рисунке 101 изображены медный, алюминиевый и железный проводники. Вычислите сопротивление каждого проводника.

проводники

1027. Медный трамвайный провод имеет длину 3 км и площадь поперечного сечения 30 мм2. Чему равно сопротивление провода?

1028. Имеются две проволоки одинакового сечения и материала. Длина первой 20 см, а второй 1,5 м. Сопротивление какой проволоки больше и во сколько раз? Почему?

1029. Имеются две проволоки одинаковой длины и материала. Сечение одной проволоки 0,2 см2, а другой 4 мм2. Сопротивление какой проволоки больше и во сколько раз? Почему?

1030. Имеются две проволоки одного и того же материала. Длина первой проволоки 5 м, а второй 0,5 м; сечение первой 0,15 см2, а второй 3 мм2. Сопротивление какой проволоки больше и во сколько раз?

1031. Имеются два алюминиевых провода одинаковой длины, но разного сечения. Сечение первого 0,1 см2, а второго 2 мм2. Сопротивление первого 2 Ом. Определите сопротивление второго. (Задачу следует решать, не прибегая к формуле.)

1032. Удельное сопротивление никелина 0,45 мкОм • м. Объясните, что это значит.

1033. Подсчитайте в уме (конечно, не прибегая к формуле), какое сопротивление имеет алюминиевый провод длиной 20 м и сечением 1 мм2.

1034. Подсчитайте в уме сопротивление никелиновой проволоки длиной 1 м и сечением 0,1 мм2.

1035. Какого сечения нужно взять алюминиевую проволоку, чтобы ее сопротивление было такое же, как у медной проволоки сечением 2 мм2, если длины обеих проволок одинаковы?

1036. Рассчитайте по формуле сопротивление километра медного трамвайного провода, если его сечение 0,65 см2.

1037. Длина медных проводов, соединяющих энергоподстанцию с потребителем электроэнергии, равна 2 км. Определите сопротивление проводов, если сечение их равно 50 мм2.

1038. В автомобильном аккумуляторе площадь поверхности пластинок S = 300 см2, расстояние между ними 2 см. Пластинки погружены в 20%-ный раствор серной кислоты с удельным сопротивлением ρ = 0,015 Ом • м. Определите сопротивление слоя кислоты между пластинками.

1039. Телеграфный провод между Москвой и Санкт-Петербургом сделан из железной проволоки диаметром 4 мм. Определите сопротивление провода, если расстояние между городами около 650 км.

Окончание >>>

 

 

???????@Mail.ru