Главная >> Физика 10 класс. Мякишев

Глава 15. Законы постоянного тока

§ 104. Работа и мощность постоянного тока

Вспомните, как определяется работа кулоновских сил при перемещении заряда q из точки с потенциалом φ1 в точку с потенциалом φ2.

Важно
При упорядоченном движении заряженных частиц в проводнике электрическое поле совершает работу.

Её принято называть работой тока.

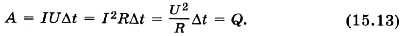
Рассмотрим произвольный участок цепи. Это может быть однородный проводник, например нить лампы накаливания, обмотка электродвигателя и др. Пусть за время Δt через поперечное сечение проводника проходит заряд Δq. Электрическое поле совершит при этом работу А = ΔqU (U — напряжение между концами участка проводника).

Так как сила тока то работа тока равна:

А = IUΔt.                     (15.12)

Важно
Работа тока на участке цепи равна произведению силы тока, напряжения и времени, в течение которого шёл ток.

Согласно закону сохранения энергии эта работа должна быть равна изменению энергии рассматриваемого участка цепи. Поэтому

Важно
энергия, выделяемая на данном участке цепи за время Δt, равна работе тока.

Если на участке цепи не совершается механическая работа и ток не производит химических действий, то происходит только нагревание проводника, т. е. увеличивается внутренняя энергия проводника. Нагретый проводник отдаёт тепло окружающим телам.

Нагревание проводника происходит следующим образом. Электрическое поле ускоряет электроны. В результате столкновения с ионами кристаллической решётки они передают ионам свою энергию. Энергия беспорядочного движения ионов около положений равновесия возрастает. Это и означает увеличение внутренней энергии. Так как температура — мера кинетической энергии тела, то температура проводника повышается, и он начинает передавать тепло окружающим телам. Спустя некоторое время после замыкания цепи процесс устанавливается, и температура проводника перестаёт изменяться со временем. За счёт работы электрического поля в проводнике непрерывно выделяется энергия. Но его внутренняя энергия остаётся неизменной, так как проводник передаёт окружающим телам количество теплоты, равное работе тока. Таким образом, формула (15.12) для работы тока определяет количество теплоты, передаваемой проводником другим телам.

Объясните, почему в отсутствие тока при столкновениях свободных электронов с ионами решётки энергия последних не увеличивается.

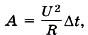
Если в формуле (15.12) выразить либо напряжение через силу тока, либо силу тока через напряжение с помощью закона Ома для участка цепи, то получим три эквивалентные формулы

Получим три эквивалентные формулы

Формулой A = I2RΔt удобно пользоваться при последовательном соединении проводников, так как сила тока в этом случае одинакова во всех проводниках. При параллельном соединении удобна формула так как напряжение на всех проводниках одинаково.

Закон Джоуля—Ленца. Закон, определяющий количество теплоты, которую выделяет проводник с током в окружающую среду, был впервые установлен экспериментально английским учёным Д. Джоулем (1818—1889) и русским учёным Э. X. Ленцем (1804— 1865).

Закон Джоуля—Ленца
Количество теплоты, выделяемой в проводнике с током, равно произведению квадрата силы тока, сопротивления проводника и времени прохождения тока по проводнику:

Q = I2RΔt.                     (15.14)

Как можно экспериментально проверить закон Джоуля—Ленца? Предложите схему опыта.

Мы получили этот закон с помощью рассуждений, основанных на законе сохранения энергии. Формула (15.14) позволяет вычислить количество теплоты, выделяемой на любом участке цепи, содержащем какие угодно проводники.

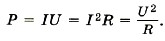
Мощность тока. Любой электрический прибор (лампа, электродвигатель и т. д.) рассчитан на потребление определённой энергии в единицу времени. Поэтому наряду с работой тока очень важное значение имеет понятие мощность тока.

Важно
Мощность тока равна отношению работы тока ко времени прохождения тока. Согласно этому определению мощность тока

Мощность тока

Электрическая мощность, так же как и механическая, выражается в ваттах (Вт).

Это выражение для мощности тока можно переписать в нескольких эквивалентных формах, используя закон Ома для участка цепи:

Выражение для мощности тока можно переписать в нескольких эквивалентных формах

Найдите на любом электроприборе значение его мощности. Обсудите, какой мощности соответствует это значение — полезной или затраченной.

На большинстве электроприборов указана потребляемая ими мощность, предельное значение силы тока, а также предельное значение напряжения.

В быту для расчётов потребляемой электроэнергии часто используется единица кВт • ч, 1 кВт • ч = 3,6 • 106 Дж.

Ключевые слова для поиска информации по теме параграфа.
Закон Джоуля—Ленца. Работа электрического тока

Вопросы к параграфу

    1. Что называют работой тока?

    2. Чем отличается понятие работы тока в электростатике от понятия работы в ® механике?

    3. Что такое мощность тока?

    4. В каких единицах выражается мощность тока?

    5. Можно ли увеличить мощность электроприбора, подавая на него большее напряжение?

    6. Какие преобразования энергии происходят в проводнике, когда по нему идёт ток?

Образцы заданий ЕГЭ

А1. Чему равна работа электрического тока за 10 мин, если напряжение на концах проводника равно 10 В, а сила тока равна 1,5 А?

1) 150 Дж     2) 900 Дж     3) 1500 Дж     4) 9000 Дне

А2. При прохождении по проводнику электрического тока в течение 2 мин совершается работа 96 кДж. Сила тока 4 А. Чему равно сопротивление проводника?

1) 0,02 Ом     2) 50 Ом     3) 3 кОм     4) 15 кОм

А3. На цоколе лампы накаливания написано: 150 Вт, 220 В. Определите силу тока в спирали при включении лампы в сеть с номинальным напряжением

1) 0,45 А     2) 0,68 А     3) 22 А     4) 220 000 А

А4. На рисунке показан график зависимости силы тока в лампе накаливания от напряжения на её клеммах. При напряжении 30 В мощность тока в лампе равна

1) 135 Вт     2) 67,5 Вт     3) 45 Вт     4) 20 Вт

А5. Как изменится мощность, потребляемая электрической лампой, если, не изменяя её электрическое сопротивление, уменьшить напряжение на ней в 3 раза?

1) уменьшится в 3 раза       3) не изменится
2) уменьшится в 9 раз       4) увеличится в 9 раз

 

 

???????@Mail.ru