Главная >> Физика 10 класс. Мякишев

Глава 3. Силы в механике

§ 35. Примеры решения задач по теме «Силы упругости. Закон Гука»

При решении задач по этой теме надо иметь в виду, что закон Гука справедлив только при упругих деформациях тел. Сила упругости не зависит от того, какая происходит деформация: сжатия или растяжения, она одинакова при одинаковых Δl. Кроме этого, считается, что сила упругости вдоль всей пружины одинакова, так как масса пружины обычно не учитывается.

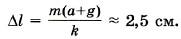
Определите модуль удлинения пружины динамометра

Задача 1. При помощи пружинного динамометра поднимают с ускорением а = 2,5 м/с2, направленным вверх, груз массой m = 2 кг. Определите модуль удлинения пружины динамометра, если её жёсткость k = 1000 Н/м.

Р е ш е н и е. Согласно закону Гука, выражающему связь между модулем внешней силы , вызывающей растяжение пружины, и её удлинением, имеем F = kΔl. Отсюда

Для нахождения силы воспользуемся вторым законом Ньютона. На груз, кроме силы тяжести m, действует сила упругости пружины, равная по модулю F и направленная вертикально вверх. Согласно второму закону Ньютона m = F + m.

Направим ось OY вертикально вверх так, чтобы пружина была расположена вдоль этой оси (рис. 3.16). В проекции на ось OY второй закон Ньютона можно записать в виде mау = Fy + mgy.

Так как ау = a, gy = -g и Fy = F, то F = mа + mg = m(а + g).

Следовательно,

На брусок действуют сила тяжести

Задача 2. Определите, как изменяется сила натяжения пружины, прикреплённой к бруску массой m = 5 кг, находящемуся неподвижно на наклонной поверхности, при изменении угла наклона от 30° до 60°. Трение не учитывайте.

Р е ш е н и е. На брусок действуют сила тяжести, сила натяжения пружины и сила реакции опоры (рис. 3.17).

Условие равновесия бруска: m + + yпp = 0.

Запишем это условие в проекциях на оси ОХ и OY:

Из первого уравнения системы получим Fyпp = mg sinα.

При изменении угла наклона изменение силы упругости найдём из выражения ΔFyпp = mg(sinα2 - sinα1) = 5 • 10 • (0,866 - 0,5) (Н) = 18,3 Н.

силы натяжения пружин равны

Задача 3. К потолку подвешены последовательно две невесомые пружины жёсткостями 60 Н/м и 40 Н/м. К нижнему концу второй пружины прикреплён груз массой 0,1 кг. Определите жёсткость воображаемой пружины, удлинение которой было бы таким же, как и двух пружин при подвешивании к ней такого же груза (эффективную жёсткость).

Р е ш е н и е. Так как весом пружин можно пренебречь, то очевидно, что силы натяжения пружин равны (рис. 3.18). Тогда согласно закону Гука

Fynp1 = Fупр2; k1x1 = k2х2.                     (1)

На подвешенный груз действуют две силы — сила тяжести и сила натяжения второй пружины.

Условие равновесия груза запишем в виде mg = k2х2.

Из этого уравнения найдём удлинение

Подставив выражение для х2 в уравнение (1), получим для удлинения

Определим теперь эффективную жёсткость. Запишем закон Гука для воображаемой пружины:

закон Гука для воображаемой пружины

Подставив в формулу (2) выражения для удлинений x1 и х2 пружин, получим

Для эффективной жёсткости получим выражение

На гирю действуют сила тяжести и сила натяжения пружины

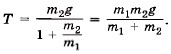
Задача 4. Через блок, закреплённый у края стола, перекинута нерастяжимая нить, к концам которой привязаны брусок массой m1 = 1 кг, находящийся на горизонтальной поверхности стола, и пружина жёсткостью k = 50 Н/м, расположенная вертикально. Ко второму концу пружины привязана гиря массой m2 = 200 г (рис. 3.19). Определите удлинение пружины при движении тел. Силу трения, массы пружины, блока и нити не учитывайте.

Р е ш е н и е. На брусок действуют сила тяжести, сила реакции опоры и сила натяжения нити.

На гирю действуют сила тяжести и сила натяжения пружины.

Согласно второму закону Ньютона для бруска и гири запишем:

m11 = m1 + + ;
m22 = m + упр.

В проекциях на выбранные оси координат запишем: на ось ОХ: m1а1 = Т;

на ось OY:

Так как нить нерастяжима, то модули ускорений равны: а1 = а2 = а.

В силу условия малых масс пружины, нити и блока можно записать: T2 = Fупр и Т1 = Т2 = Т.

Учтя последние равенства, систему уравнений (1) запишем в виде

Выразив ускорение из первого уравнения системы и подставив его во второе, получим Из этого уравнения найдём силу натяжения нити:

Так как согласно закону Гука Fупр = kx, то

Тогда удлинение пружины

Задачи для самостоятельного решения

1. К динамометру привязан груз массой 2 кг. Динамометр с грузом опускают с ускорением 3 м/с2. Жёсткость пружины 103 Н/м. Определите модуль растяжения пружины динамометра.

Определите длину пружины в недеформированном сотоянии

2. К бруску массой 1 кг, находящемуся на гладкой горизонтальной поверхности, прикреплены две пружины (рис. 3.20). Жёсткость правой пружины 2 • 103 Н/м, левой — в 2 раза меньше. Чему равно отношение удлинений пружин в случае, когда брусок неподвижен?

3. Ящик массой 100 кг удерживается на наклонной плоскости на высоте 0,5 м закреплённой у основания пружиной, жёсткость которой равна 104 Н/м (рис. 3.21). Определите длину пружины в недеформированном сотоянии. Угол у основания наклонной плоскости равен 30°. Трением можно пренебречь.

4. К нижнему концу лёгкой пружины подвешены связанные невесомой нитью грузы: верхний массой m1 = 0,5 кг и нижний массой m2 = 0,2 кг. Нить, соединяющую грузы, пережигают. Определите проекцию ускорения на направленную вниз ось OY, с которым начнёт двигаться верхний груз.

 

 

???????@Mail.ru