Главная >> Физика 10 класс. Мякишев

Глава 3. Силы в механике

§ 37. Примеры решения задач по теме «Силы трения» (окончание)

На брусок действуют сила тяжести

Задача 5. Брусок массой 5 кг тянут по поверхности стола, взявшись за кольцо динамометра. При этом ускорение тела равно 0,5 м/с2. Жёсткость пружины равна 200 Н/м Определите растяжение пружины. Коэффициент трения бруска о стол 0,05.

Р е ш е н и е. На брусок действуют сила тяжести m, сила трения тp, сила натяжения пружины yпp и сила нормальной реакции опоры (рис. 3.30).

Согласно второму закону Ньютона

m= m + + тp + yпp.

В проекции на горизонталь уравнение запишем в виде mа = Fyпp - Fтp.

Сила трения Fтp = μN = μmg.

Сила упругости Fyпp = -kx.

Тогда mа = kx - μmg.

Удлинение пружины

Задача 6. Два бруска массами m1 = 1 кг и m2 = 3 кг соединены нерастяжимой нитью, перекинутой через блок. Брусок с большей массой находится на наклонной плоскости, угол у основания которой равен 30°, коэффициент трения равен 0,04. Определите ускорение брусков.

Рассматриваем движение тел относительно одного тела отсчёта

Р е ш е н и е. На первый брусок действуют сила натяжения нити 1 и сила тяжести m1 (pиc. 3.31). На второй брусок действуют сила натяжения нити 2, сила тяжести m2, сила трения тp и сила нормальной реакции опоры .

Согласно второму закону Ньютона запишем:

m11 = m1 + 1,                     (1)
m22 = m2 + 2 + тp + .                     (2)

Рассматриваем движение тел относительно одного тела отсчёта, например относительно наклонной плоскости. Модули ускорений брусков равны вследствие условия нерастяжимости нити: а1 = а2 = а.

Для записи уравнений в проекциях на оси надо знать направления сил. Сила трения направлена в сторону, противоположную относительной скорости бруска. Сила трения может быть направлена и вверх, и вниз вдоль наклонной плоскости.

Рассчитаем, в какую сторону происходит движение брусков. Движение бруска 2 влево обеспечивает проекция силы тяжести на ось X, равная m2g sinα = 15 Н, а вправо — сила тяжести, действующая на брусок 1, равная 10Н. Следовательно, брусок 2 движется вниз и сила трения направлена вверх.

В проекции на ось Y1 уравнение (1) запишем в виде

m1a = -m1g + Т1.                     (3)

В проекциях на оси X и Y уравнение (2) запишем в виде

m2а = m2g sinα - Fтр - F2                     (4)
0 = N - m2g cosα.                     (5)

Сила трения Fтр = μN = μm2g cosα.

Силы натяжения, действующие на бруски, равны в силу невесомости блока и нити: Т1 = Т2 = Т.

Уравнения (3) и (4) перепишем в виде

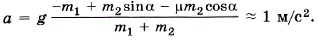
Сложив левые и правые части этих уравнений, получим (m1 + m2)а = -m1g + m2g sinα - μm2 cosα.

Окончательно для определения ускорения имеем выражение

для определения ускорения имеем выражение

Задачи для самостоятельного решения

1. При быстром торможении автомобиль начал двигаться по горизонтальной дороге юзом (заторможенные колёса не вращаются, а скользят по дороге). С каким ускорением при этом движется автомобиль и через сколько времени от начала торможения автомобиль остановится, если его начальная скорость υ0 = 20 м/с, а коэффициент трения колёс о дорогу μ = 0,8?

2. Груз массой 97 кг перемещают равномерно по горизонтальной поверхности с помощью верёвки, образующей угол 30° с горизонтом. Определите силу натяжения верёвки, если коэффициент трения равен 0,2.

Образцы заданий ЕГЭ

С1. К покоящемуся на шероховатой горизонтальной поверхности телу приложена нарастающая с течением времени сила тяги F = bt, где b — постоянная величина. На рисунке представлен график зависимости ускорения тела от времени действия силы. Определите коэффициент трения скольжения.

C2. По горизонтальной дороге мальчик тянет сани массой 30 кг за верёвку, направленную под углом 60° к плоскости дороги, с силой 100 Н. Коэффициент трения 0,12. Определите ускорение саней. Чему равен путь, пройденный санями за 5 с, если в начальный момент времени их скорость была равна нулю?

СЗ. Шайба, брошенная вдоль наклонной плоскости, скользит по ней, двигаясь вверх, а затем движется вниз. График зависимости модуля скорости шайбы от времени приведён на рисунке. Определите угол наклона плоскости к горизонту.


Повторите материал главы 3 по следующему плану

1. Выпишите основные понятия и физические величины и дайте им определение.

2. Сформулируйте законы и запишите основные формулы.

3. Укажите единицы физических величин и их выражение через основные единицы СИ.

4. Опишите основные опыты, подтверждающие справедливость законов.

«Силы в механике»

    1. Оптимальные условия запуска космических кораблей, изучающих планеты Солнечной системы.

    2. Опасность столкновения планет и их спутников с астероидами, кометами.

    3. От рессоры до современных амортизаторов.

    4. Зависимость силы сопротивления от формы тела. Спортивные модели автомобилей.

    5. Трение полезное и трение вредное.

«Исследование зависимости упругости пружин от их длины и толщины проволоки, из которой они изготовлены»

«Определение коэффициентов трения покоя и скольжения для различных поверхностей»

<<< К началу параграфа                Следующая страница >>>

 

 

???????@Mail.ru