Главная >> Физика 10 класс. Мякишев

Глава 4. Закон сохранения импульса

§ 39. Примеры решения задач по теме «Закон сохранения импульса»

Закон сохранения импульса целесообразно применять для решения тех задач, в которых требуется определить скорость, а не силу или ускорение.

Для решения задачи нужно записать этот закон в векторной форме:

m11 + m22 + ... = m11 + m22 + ..., где 1, 2 и т. д. — скорости тел системы до взаимодействия, а 1, 2 и т. д. — их скорости после взаимодействия.

После этого векторное уравнение записывается в проекциях на оси выбранной системы координат. Выбор направления осей диктуется удобством решения задачи. Если, например, все тела движутся вдоль одной прямой, то координатную ось целесообразно направить вдоль этой прямой.

При решении некоторых задач приходится использовать дополнительно уравнения кинематики.

Задача 1. Два шара, массы которых m1 = 0,5 кг и m2 = 0,2 кг, движутся по гладкой горизонтальной поверхности навстречу друг другу со скоростями υ1 = 1 м/с и υ2 = 4 м/с. Определите их скорость v после центрального абсолютно неупругого столкновения.

Запомни
Абсолютно неупругим столкновением называется взаимодействие тел, после которого они движутся как единое целое с одной скоростью.

Р е ш е н и е. Ось ОХ направим вдоль линии, проходящей через центры движущихся шаров по направлению скорости 1.

После абсолютно неупрутого удара шары движутся с одной и той же скоростью . Так как вдоль оси ОХ внешние силы не действуют (трения нет), то сумма проекций импульсов на эту ось сохраняется (сумма проекций импульсов обоих шаров до удара равна проекции общего импульса системы после удара):

m1υ1x + m2υ2x = (m1 + m2x.

Так как υ1x = υ1, a υ2x = -υ2, то

υx = (m1υ1 - m2υ2)/(m1 + m2) ≈ -0,4 м/с.

После удара шары будут двигаться в отрицательном направлении оси ОХ со скоростью 0,4 м/с.

Два пластилиновых шарика после соударения слиплись и стали двигаться по гладкой горизонтальной поверхности

Задача 2. Два пластилиновых шарика, отношение масс которых m2/m1 = 4, после соударения слиплись и стали двигаться по гладкой горизонтальной поверхности со скоростью и (рис. 4.3, вид сверху). Определите скорость более лёгкого шарика до соударения, если он двигался в 3 раза быстрее тяжёлого (υ1 = 3υ2), а направления движения шариков были взаимно перпендикулярны. Трением можно пренебречь.

Р е ш е н и е. Так как скорости 1 и 2 шариков взаимно перпендикулярны, то оси прямоугольной системы координат удобно направить параллельно этим скоростям.

Согласно закону сохранения импульса имеем

m11 + m22 = (m1 + m2).

Запишем это уравнение в проекциях на оси ОХ и OY, проведённые так, как показано на рисунке 4.3:

m1υ1x + m2υ2x = (m1 + m2х,
m2υ1y + m2υ2y = (m1 + m2у.

Так как υ1x = υ1, υ2x = 0, υ1y = 0, υ2y = υ2y = υ2, то

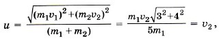
Модуль скорости и равен

Итак, υ2 = и, следовательно, υ1 = 3и.

Можно эту задачу решить так. Импульсы 1 и 2 тел взаимно перпендикулярны, поэтому согласно закону сохранения импульса и теореме Пифагора (m1υ2)2 + (m2 + m2)2 = (m1 + m2)2и2.

Тогда и, следовательно, υ1 = 3и.

Задача 3. Компоненты топлива в двигатель ракеты подаются со скоростью υ1 = 200 м/с, а горючий газ выходит из сопла со скоростью υ2 = 500 м/с.

Массовый расход топлива двигателем Определите реактивную силу.

Р е ш е н и е. Изменение импульса топлива массой Δm за время Δt равно

Δmυ2 - Δmυ1 = FΔt.

Тогда сила, подействовавшая на горючий газ, вырывающийся из сопла ракеты,

сила, подействовавшая на горючий газ, вырывающийся из сопла ракеты

Согласно третьему закону Ньютона сила, подействовавшая на топливо, равна по модулю и противоположна по направлению силе, подействовавшей на ракету, т. е. реактивной силе = -p. Следовательно, искомая сила

искомая сила

Задачи для самостоятельного решения

1. Неподвижный вагон массой 2 • 104 кг сцепляется с платформой массой 3 • 104 кг. До сцепки платформа имела скорость 1 м/с. Чему равна скорость вагона и платформы после их сцепки?

2. На плот массой 100 кг, имеющий скорость 1 м/с, направленную вдоль берега, прыгает человек массой 50 кг со скоростью 1,5 м/с перпендикулярно берегу. Определите скорость плота с прыгнувшим на него человеком.

3. Будет ли увеличиваться скорость ракеты, если скорость истечения газов относительно ракеты меньше скорости самой ракеты и вытекающие из сопла газы летят вслед за ракетой?

4. Охотник стреляет с лёгкой надувной лодки. Определите скорость лодки после выстрела, если масса охотника 70 кг, масса дроби 35 г и средняя начальная скорость дробинок равна 320 м/с. Ствол ружья во время выстрела образует с горизонтом угол 60°.

Образцы заданий ЕГЭ

Чему равен импульс
тележки с песком и камнем после падения камня?

C1. Камень массой m1 = 4 кг падает под углом 60° к горизонту со скоростью 10 м/с в тележку с песком, покоящуюся на горизонтальных рельсах (см. рис.). Чему равен импульс тележки с песком и камнем после падения камня?

C2. Снаряд, летящий с некоторой скоростью, разрывается на два осколка. Первый осколок летит под углом 90° к первоначальному направлению со скоростью 50 м/с, а второй — под углом 30° со скоростью 100 м/с. Определите отношение массы первого осколка к массе второго осколка.

C3. Пуля, летящая горизонтально со скоростью, равной 200 м/с, пробивает брусок, находящийся на горизонтальной поверхности, и вылетает из него со скоростью, равной 50 м/с. Масса бруска в 15 раз больше массы пули. Определите коэффициент трения между бруском и поверхностью, если известно, что брусок сместился на расстояние, равное 10 м.

C4. Снаряд выпущен из пушки вертикально вверх со скоростью 400 м/с. В наивысшей точке подъёма он разорвался на два осколка, причём оба осколка упали вблизи точки выстрела. Первый упал со скоростью, в 2 раза большей начальной, а второй — через 80 с после разрыва. Определите отношение масс осколков.


Повторите материал главы 4 по следующему плану

1. Выпишите основные понятия и физические величины и дайте им определение.

2. Сформулируйте законы и запишите основные формулы.

3. Укажите единицы физических величин и их выражение через основные единицы СИ.

4. Опишите основные опыты, подтверждающие справедливость законов.

«Ракетные двигатели и использование реактивного движения для полётов в безвоздушном пространстве»

    1. Закон сохранения импульса, реактивная сила. Примеры и демонстрации.

    2. Типы ракетных двигателей.

    3. Успехи в освоении космического пространства. Полёты на другие планеты.

    4. Искуственные спутники Земли.

«Э. К. Циолковский. Идеи Циолковского (по его работам) и их реальное воплощение»

 

 

???????@Mail.ru