Главная >> Физика 10 класс. Мякишев

Глава 13. Основы термодинамики

§ 75. Примеры решения задач по теме «Внутренняя энергия. Работа

Для решения задач нужно уметь вычислять внутреннюю энергию и работу, пользуясь формулами (13.1) и (13.4). Надо ещё иметь в виду, что величины A, Q, ΔU могут быть как положительными, так и отрицательными.

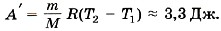
Задача 1. Аэростат объёмом V = 500 м3 наполнен гелием под давлением р = 105 Па. В результате солнечного нагрева температура газа в аэростате поднялась от t1 = 10 °С до t2 = 25 °С. На сколько увеличилась внутренняя энергия газа?

Р е ш е н и е. Гелий является одноатомным газом, поэтому его внутренняя энергия определяется формулой (13.1). При температуре Т1 эта энергия равна а при температуре Т2 равна Изменение энергии равно:

Изменение энергии

Масса гелия неизвестна, но её можно выразить с помощью уравнения Менделеева—Клапейрона через начальную температуру, давление и объём газа: Подставляя значение в уравнение для изменения энергии, получаем

Уравнение для изменения энергии

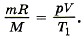
Задача 2. В цилиндре под тяжёлым поршнем находится углекислый газ (М = 0,044 кг/моль) массой m = 0,20 кг. Газ нагревается на ΔТ = 88 К. Какую работу он при этом совершает?

Р е ш е н и е. Газ расширяется при некотором постоянном давлении р, которое создаётся атмосферой и поршнем. В этом случае работа газа А' = p(V2 - V1), где V1 и V2 — начальный и конечный объёмы газа. Используя уравнение Менделеева—Клапейрона, выразим произведения pV2 и pV1 через Тогда

Задача 3. Чему равна работа, совершённая газом в количестве 3 моль при сжатии, если температура увеличилась на 100 К? Потери тепла не учитывайте.

Р е ш е н и е. При сжатии внешняя сила совершает положительную работу, за счёт которой происходит изменение внутренней энергии и соответственно температуры газа, т. е. А = ΔU. Изменение внутренней энергии

Изменение внутренней энергии

Работа, совершённая силой давления газа:

Работа, совершённая силой давления газа

зависимость давления газа от объёма при его переходе из состояния 1 в состояние 4

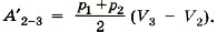
Задача 4. На рисунке 13.4 показана зависимость давления газа от объёма при его переходе из состояния 1 в состояние 4. Определите работу газа.

Р е ш е н и е. Работа газа численно равна площади заштрихованной фигуры. Процессы 1—2 и 3—4 изобарные, поэтому работа газа в этих процессах

А'1 - 2 = p1(V2 - V1),     А'3-4 = p2(V4 - V3).

В процессе 2—3 изменяются все три параметра газа. Работа газа в этом процессе

Таким образом, учтя, что V2 — V1 = V3 — V2 = V4 — V3 = ΔV, получим

Работа газа

Задачи для самостоятельного решения

1. Как изменится внутренняя энергия одноатомного идеального газа, если его давление увеличится в 3 раза, а объём уменьшится в 2 раза?

2. Стержень отбойного молотка приводится в движение сжатым воздухом. Масса воздуха в цилиндре за время хода поршня меняется от 0,1 до 0,5 г. Считая давление воздуха в цилиндре и температуру (27 °С) постоянными, определите работу газа за один ход поршня (Мвозд = 0,029 кг/моль).

3. При изобарном расширении одноатомного газа, взятого в количестве 4 моль, его температура увеличилась на 100 °С. Определите изменение внутренней энергии и работу, совершённую силой давления газа.

Образцы заданий ЕГЭ

C1. Объём идеального одноатомного газа, масса которого постоянна, увеличился при постоянном давлении 500 кПа на 0,03 м3. На сколько увеличилась внутренняя энергия газа?

C2. Идеальный одноатомный газ находится в сосуде с жёсткими стенками объёмом 0,5 м3. При нагревании его давление возросло на 4 кПа. На сколько увеличилась внутренняя энергия газа?

C3. Во время опыта объём воздуха в цилиндре, закрытом подвижным поршнем, и его абсолютную температуру увеличили в 2 раза. Оказалось, однако, что воздух мог просачиваться сквозь зазор вокруг поршня, и за время опыта его давление в цилиндре не изменилось. Во сколько раз изменилась внутренняя энергия воздуха в цилиндре? (Воздух считайте идеальным газом.)

C4. В сосуде с небольшой трещиной находится газ, который может просачиваться сквозь трещину. Во время опыта давление газа уменьшилось в 8 раз, а его абсолютная температура уменьшилась в 4 раза при неизменном объёме. Во сколько раз изменилась внутренняя энергия газа в сосуде? (Газ считайте идеальным.)

C5. В координатах р, Т показан цикл тепловой машины, у которой рабочим телом является идеальный газ. На каком участке цикла работа газа наибольшая по модулю?

 

 

???????@Mail.ru