Главная >> Физика 10 класс. Мякишев

Глава 14. Электростатика

При решении задач на применение закона Кулона используются те же приёмы, что и при решении задач в курсе механики. Надо лишь иметь в виду, что направление кулоновской силы зависит от знаков зарядов взаимодействующих тел. Кроме того, в ряде задач используется закон сохранения заряда и тот факт, что заряд любого тела кратен заряду электрона.

Задача 1. Сколько электронов содержится в капле воды массой m = 0,03 г? Масса молекулы воды m0 = 3 • 10-23 г.

Р е ш е н и е. Молекула воды (Н2O) содержит 10 электронов. В капле воды содержится молекул, и, следовательно, число электронов электронов.

Задача 2. Два одинаковых шарика подвешены на нитях длиной I = 2,0 м к одной точке. Когда шарикам сообщили одинаковые заряды по q = 2,0 • 10-8 Кл, они разошлись на расстояние r = 16 см. Определите натяжение каждой нити и массу каждого шарика.

На каждый шарик действуют три силы

Р е ш е н и е. На каждый шарик действуют три силы: сила тяжести m сила натяжения нити и кулоновская сила (рис. 14.5).

Каждый шарик неподвижен, следовательно, суммы проекций сил на оси ОХ и OY равны нулю. Для суммы проекций сил, действующих на правый шарик, на ось ОХ это условие имеет вид F - Т sinα = 0. Так как то

Для суммы проекций сил, действующих на правый шарик

В проекциях на ось OY условие равновесия для каждого из шариков имеет вид Tcosα - mg = 0, откуда с учётом того, что cos2α = 1 — sin2α, получим

Условие равновесия для каждого из шариков

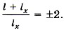
Задача 3. Два разноимённых заряда q1 = 2 • 10-4 Кл и q2 = -8 • 10-4 Кл расположены на расстоянии 1 м друг от друга. Какой заряд qx и где надо поместить, чтобы система зарядов находилась в равновесии?

Заряды разноимённые притягиваются и на них действуют силы

Р е ш е н и е. Заряды q1 и q2 разноимённые, следовательно, они притягиваются и на них действуют силы 1 и 2 соответственно (рис. 14.6). Для равновесия каждого из зарядов необходимо, чтобы на заряды q1 и q2 со стороны заряда qx действовали силы '1 и '2, равные по модулю силам 1 и 2 и противоположные по направлению. Поскольку q1 < |q2|, заряд qx должен быть помещён слева от заряда qx, чтобы силы, действующие на заряды q1 и q2 со стороны заряда qx, были равны. Заряд qx должен быть отрицательным, т. е. притягивать заряд q1 и отталкивать заряд q2:

1 = -'1,     2 = -'2.

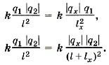
В проекциях на ось X эти уравнения имеют вид F1 = F'1, F2 = F'2, или

Решим полученную систему уравнений относительно двух неизвестных qx и lx. Из первого уравнения выразим |qx|: — и подставим во второе.

Получим уравнение или Подставим значения зарядов: или

Решением этого уравнения, удовлетворяющим физическому смыслу, является lx - 1 м.

Подставив это значение в формулу для |qx|, получим |qx| = |q2| = 8 • 10-4 Кл, или qx = -8 • 10-4 Кл.

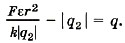
Задача 4. Два заряженных шарика, находящиеся друг от друга на расстоянии r = 90 см и помещённые в керосин, притягиваются друг к другу с силой F = 80 Н. Определите заряды шариков, если сумма их зарядов q = 4 • 10-5 Кл. Относительная диэлектрическая проницаемость керосина ε = 2.

Р е ш е н и е. Так как шарики притягиваются, то их заряды противоположны по знаку. Предположим, что заряд первого шарика положителен и равен q1, а второго отрицателен и равен q2. Согласно условию задачи

q1 + q2 = q, или q1 - |q2| = q.                     (1)

По закону Кулона сила притяжения зарядов равна:

По закону Кулона сила притяжения зарядов равна

Уравнения (1) и (2) — система двух уравнений относительно двух неизвестных q1 и |q2|.

Выразив из уравнения и подставив в уравнение (1), получим

Относительно модуля заряда |q2| получим уравнение

Отсюда Модуль числа всегда положителен, поэтому оставляем один корень |q2| ≈ 10-4 Кл.

Таким образом, q2 = -10-4 Кл, a q1 = 1,4 • 10-4 Кл.

Задача 5. Два одинаковых небольших одноимённо заряженных шарика радиусом 1 см, массой 10 г и зарядом 4 • 10-6 Кл подвешены в одной точке на двух нитях длиной 1 м в жидком диэлектрике. Плотность диэлектрика ρ = 800 кг/м3. Определите относительную диэлектрическую проницаемость диэлектрика ε, если угол между нитями 2α = 60°.

На каждый шарик действуют сила тяжести, сила натяжения нити, выталкивающая сила и сила Кулона

Р е ш е н и е. На каждый шарик действуют сила тяжести, сила натяжения нити, выталкивающая сила и сила Кулона (рис. 14.7).

Условия равновесия шариков m + + выт + = 0, m + 1 + 1 + выт = 0, Т = T1, F = F1.

В проекциях на оси координат для правого шарика запишем:

на ось OX: -Tsinα + F = 0;

на ось ОY: -mg + Tcosα + Fвыт = 0.

Выразив силу Т из этих уравнений и приравняв правые части полученных выражений, найдём

При этом сила Кулона где r12 = 2l sinα, а выталкивающая сила

Подставим эти выражения в уравнение (1) и найдём диэлектрическую проницаемость:

Диэлектрическую проницаемость

Задачи для самостоятельного решения

1. Определите силу взаимодействия электрона с ядром в атоме водорода, если расстояние между ними равно 0,5 • 10-8 см.

2. С какой силой взаимодействовали бы две капли воды на расстоянии 1 км, если бы удалось передать одной из капель 1% всех электронов, содержащихся в другой капле массой 0,03 г?

3. Два одинаковых шарика находятся на расстоянии 40 см друг от друга. Заряд одного из них 9 • 10-9 Кл, а заряд другого -2 • 10-9 Кл. Шарики привели в соприкосновение и вновь раздвинули на такое же расстояние. Определите силы их взаимодействия до и после соприкосновения.

4. Точечные заряды 1,0 • 10-8 Кл и 2,0 • 10-8 Кл закреплены на расстоянии 1 м друг от друга в вакууме. На середине отрезка, соединяющего эти заряды, на одинаковом расстоянии от каждого из них помещён точечный заряд, равный -3 • 10-9 Кл. Определите модуль и направление силы, действующей на него.

5. Два одинаковых маленьких шарика подвешены в одной точке на нитях длиной 1 м в масле с диэлектрической проницаемостью ε = 2,2. Шарикам сообщили одинаковые заряды 9 • 10-6 Кл, при этом нити разошлись на угол 60°. Определите массу каждого шарика. Размерами шариков можно пренебречь.

Образцы заданий ЕГЭ

А1. Как изменится модуль силы взаимодействия двух небольших металлических шариков одинакового диаметра, имеющих заряды q1 = +6 нКл и q2 = -2 нКл, если шары привести в соприкосновение и раздвинуть на прежнее расстояние?

1) увеличится в 9 раз       3) увеличится в 8 раз
2) увеличится в 3 раза       4) уменьшится в 3 раза

 

С2. Три медных шарика диаметром 1 см каждый расположены в воздухе в вершинах правильного треугольника со стороной 20 см. Первый шарик несёт заряд q1 = 80 нКл, второй — q2 = 30 нКл, а третий — q3 = 40 нКл. С какой силой второй шарик действует на первый? Ответ выразите в микроньютонах.

С3. Два пробковых противоположно заряженных шарика привязаны на нитях ко дну и к перекладине в верхней части сосуда, заполненного маслом (см. рис.) Диаметр шариков 2 мм, длина нитей 40 см, расстояние между центрами шариков 10 см. Считая нити невесомыми, определите натяжение верхней нити. Плотность пробки 130 кг/м3, плотность масла 800 кг/м3, его диэлектрическая проницаемость б, модуль заряда шариков 3 • 10-8 Кл. Ответ выразите в миллиньютонах и округлите до сотых.

 

 

???????@Mail.ru