Главная >> Физика 10 класс. Мякишев

Глава 15. Законы постоянного тока

§ 107. Примеры решения задач по теме «Работа и мощность постоянного тока. Закон Ома для полной цепи»

При решении задач, связанных с расчётом работы и мощности тока, надо применять формулы (15.13) и (15.15).

Для определения силы тока в замкнутой цепи надо использовать закон Ома для полной цепи, а в случае нескольких источников правильно определить суммарную ЭДС.

Задача 1. Аккумулятор с ЭДС Ε = 6,0 В и внутренним сопротивлением r — 0,1 Ом питает внешнюю цепь с сопротивлением R = 12,4 Ом. Какое количество теплоты Q выделится во всей цепи за время t = 10 мин?

Р е ш е н и е. Согласно закону Ома для замкнутой цепи сила тока в цепи равна Количество теплоты, выделившейся на внешнем участке цепи, Q1 = I2Rt, на внутреннем — Q2 = I2rt. Полное количество теплоты

Полное количество теплоты

Задача 2. Разность потенциалов в сети зарядной станции равна 20 В. Внутреннее сопротивление аккумулятора, поставленного на зарядку, равно 0,8 Ом; в начальный момент времени его остаточная ЭДС равна 12 В. Какая мощность будет расходоваться станцией на зарядку аккумулятора при этих условиях? Какая часть этой мощности будет расходоваться на нагревание аккумулятора?

Р е ш е н и е. При зарядке аккумулятора зарядное устройство и аккумулятор соединены разноимёнными полюсами навстречу друг другу. Сила тока, идущего через аккумулятор, I = (U - Ε)/R. Мощность, расходуемая станцией:

Р1 = UI = U(U - Ε)/R = 200 Вт.

Мощность, расходуемая на нагревание аккумулятора:

Мощность, расходуемая на нагревание аккумулятора

Тогда Р21 = 0,4.

Задача 3. При подключении вольтметра сопротивлением RV = 200 Ом непосредственно к зажимам источника он показывает U = 20 В. Если же этот источник замкнуть на резистор сопротивлением R = 8 Ом, то сила тока в цепи I2 = 0,5 А. Определите ЭДС и внутреннее сопротивление источника.

Р е ш е н и е. По закону Ома для полной цепи в первом случае сила тока во втором случае Показания вольтметра — падение напряжения на его внутреннем сопротивлении, т. е. U = I1RV. Из соотношения I1(RV + r) = I2(R + r) найдём внутреннее сопротивление источника:

Внутреннее сопротивление источника

Для ЭДС источника запишем: Ε = I2(R + r) = 24 В.

Задача 4. Определите силу тока короткого замыкания для источника, который при силе тока в цепи I1 = 10 А имеет полезную мощность Р1 = 500 Вт, а при силе тока I2 = 5 А — мощность Р2 = 375 Вт.

Р е ш е н и е. Сила тока короткого замыкания Полезная мощность Р = IU, где U — напряжение на зажимах источника, или падение напряжения на внешнем участке цепи. Напряжения на зажимах источника в первом и во втором случаях

Напряжения на зажимах источника в первом и во втором случаях

Вычтем почленно из первого выражения второе:

Вычтем почленно из первого выражения второе

откуда определим

ЭДС источника тока

ЭДС источника тока

Окончательно для силы тока короткого замыкания

Силы тока короткого замыкания

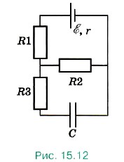
Конденсатор ёмкостью 2 мкФ включён в цепь содержащую три резистора и источник постоянного тока с ЭДС 3,6 В и внутренним сопротивлением 1 Ом

Задача 5. Конденсатор ёмкостью 2 мкФ включён в цепь (рис. 15.12), содержащую три резистора и источник постоянного тока с ЭДС 3,6 В и внутренним сопротивлением 1 Ом. Сопротивления резисторов R1 = 4 Ом, R2 = 7 Ом, R3 = 3 Ом. Чему равен заряд на правой обкладке конденсатора?

Р е ш е н и е. Участок цепи, в котором находится конденсатор, разомкнут, и ток через резистор R3 не идёт.

Разность потенциалов между пластинами конденсатора равна падению напряжения на резисторе R2: U = IR2.

Сила тока, идущего по цепи, согласно закону Ома равна

Заряд на обкладках конденсатора

Заряд на обкладках конденсатора

На правой обкладке конденсатора накопится отрицательный заряд, так как она подключена к отрицательному полюсу источника.

Задача 6. Определите параметры источника тока, если известно, что максимальная мощность, равная 40 Вт, выделяется при подключении резистора сопротивлением 10 Ом.

Р е ш е н и е. Максимальная мощность выделяется при равенстве внешнего и внутреннего сопротивлений, следовательно, R = r = 10 Ом.

Мощность определяется формулой Р = I2R, или с учётом закона Ома:

Мощность определяется формулой

Тогда ЭДС источника

Тогда ЭДС источника

Задачи для самостоятельного решения

1. За некоторый промежуток времени электрическая плитка, включённая в сеть с постоянным напряжением, выделила количество теплоты Q. Какое количество теплоты выделят за то же время две такие плитки, включённые в ту же сеть последовательно? параллельно? Изменение сопротивления спирали в зависимости от температуры не учитывать.

2. Чему равно напряжение на клеммах гальванического элемента с ЭДС, равной Ε, если цепь разомкнута?

3. Чему равна сила тока при коротком замыкании аккумулятора с ЭДС Ε = 12 В и внутренним сопротивлением r = 0,01 Ом?

4. Батарейка для карманного фонаря замкнута на резистор переменного сопротивления. При сопротивлении резистора, равном 1,65 Ом, напряжение на нём равно 3,30 В, а при сопротивлении, равном 3,50 Ом, напряжение равно 3,50 В. Определите ЭДС и внутреннее сопротивление батарейки.

5. Источники тока с ЭДС 4,50 В и 1,50 В и внутренними сопротивлениями 1,50 Ом и 0,50 Ом, соединённые, как показано на рисунке (15.13), питают лампу от карманного фонаря. Какую мощность потребляет лампа, если известно, что сопротивление её нити в нагретом состоянии равно 23 Ом?

6. Замкнутая цепь питается от источника с ЭДС Ε = 6 В и внутренним сопротивлением 0,1 Ом. Постройте графики зависимости силы тока в цепи, напряжения на зажимах источника и мощности от сопротивления внешнего участка.

7. Два элемента, имеющие одинаковые ЭДС по 4,1 В и одинаковые внутренние сопротивления по 4 Ом, соединены одноимёнными полюсами, от которых сделаны выводы, так что получилась батарейка. Какую ЭДС и какое внутреннее сопротивление должен иметь элемент, которым можно было бы заменить такую батарейку?

Образцы заданий ЕГЭ

C1. Резисторы поочерёдно подключают к источнику постоянного тока. Сопротивления резисторов равны соответственно 3 Ом и 12 Ом. Мощность тока в резисторах одинакова. Чему равно внутреннее сопротивление источника тока?

C2. ЭДС источника постоянного тока Ε = 2 В, а его внутреннее сопротивление r = 1 Ом. Мощность тока в резисторе, подключённом к источнику, Р0 = 0,75 Вт. Чему равна сила тока в цепи?

C3. Электрическая цепь состоит из источника тока и реостата. ЭДС источника б В, его внутреннее сопротивление r = 2 Ом. Сопротивление реостата можно изменять в пределах от 1 до 5 Ом. Чему равна максимальная мощность, выделяемая на реостате?

C4. К однородному медному цилиндрическому проводнику длиной 10 м приложили разность потенциалов 1 В. Определите промежуток времени, в течение которого температура проводника повысится на 10 К. Изменением сопротивления проводника и рассеянием тепла при его нагревании можно пренебречь. Плотность меди 8900 кг/м3, удельное сопротивление меди 1,7 • 10-8 Ом • м, удельная теплоёмкость меди 380 Дж/(кг • К).

C5. В электрической схеме, показанной на рисунке, ключ К замкнут. Заряд конденсатора q = 2 мкКл, ЭДС батарейки Ε = 24 В, её внутреннее сопротивление r = 5 Ом, сопротивление резистора R = 25 Ом. Определите количество теплоты, которая выделяется на резисторе после размыкания ключа К в результате разрядки конденсатора. Потерями на излучение можно пренебречь.


Повторите материал главы 15 по следующему плану

1. Выпишите основные понятия и физические величины и дайте им определение.

2. Сформулируйте законы и запишите основные формулы.

3. Укажите единицы физических величин и их выражение через основные единицы СИ.

4. Опишите основные опыты, подтверждающие справедливость законов.

«Источники постоянного тока и их применение»

    1. Первые источники тока — химические источники.

    2. Фотоэлектрический эффект. Фотоэлементы.

    3. Термоэлектрический эффект. Термоэлементы.

    4. Применение источников постоянного тока в современной технике.

«Экспериментальная проверка закона Ома для полной цепи»

«Создание экспериментальной установки для исследования тепловых действий тока»

«Обоснование общего закона сохранения энергии на основе исследований тепловых действий тока»

 

 

???????@Mail.ru