Главная >> Физика 10 класс. Мякишев

Глава 1. Кинематика точки и твёрдого тела

§ 14. Примеры решения задач по теме «Движение с постоянным ускорением свободного падения

При решении задач по этой теме надо иметь в виду, что свободное падение — частный случай движения тела с постоянным ускорением. Если тело брошено под углом к горизонту, отличным от 90°, то движение происходит в плоскости, при этом надо помнить, что в горизонтальном направлении движение равномерное, так как проекция ускорения на эту ось равна нулю.

Задача 1. С балкона из точки О бросили мяч вертикально вверх со скоростью υ0 = 9 м/с. Определите положение мяча относительно точки О и его скорость спустя время t1 = 2 с от момента бросания. Сопротивление воздуха не учитывайте.

Р е ш е н и е. Поскольку сопротивление воздуха не учитывается, то движение мяча можно считать свободным падением. В данном случае векторы 0 и лежат на одной прямой. Следовательно, мяч будет двигаться вдоль той же прямой. Примем за начало координат точку О бросания мяча, ось У направим вертикально вверх (рис. 1.54). Тогда движение мяча будет описываться кинематическим уравнением

движение мяча будет описываться кинематическим уравнением

Так как у0 = 0, υ0y = υ0 и ау = -g, то В момент времени

Чтобы определить модуль и направление вектора скорости 1, найдём его проекцию на ось У по формуле υy = υ0y + ayt. При выбранном направлении оси У последнюю формулу можно записать так: υy = υ0 - gt. Поэтому

модуль и направление вектора скорости

Отрицательный знак проекции скорости означает, что в конце второй секунды скорость мяча направлена противоположно положительному направлению оси Y, т. е. вниз.

Задача 2. Из точки А брошен горизонтально шарик со скоростью υ0 — 8 м/с. Определите положение шарика относительно точки О через t = 1,5 с от начала его движения. Точки А и О находятся на одной вертикали на расстоянии 5 м друг от друга и точка О ниже точки А. Сопротивлением воздуха можно пренебречь.

Р е ш е н и е. Выберем оси координат так, чтобы векторы 0 и лежали в одной координатной плоскости, например в плоскости XOY. Так как сопротивление воздуха не учитывается и начальная скорость шарика направлена горизонтально, то он будет двигаться в плоскости XOY по параболе, вершина которой находится в точке бросания. Поскольку надо найти положение шарика относительно точки О, то за начало координат возьмём эту точку. Ось ОХ направим горизонтально, ось OY — вертикально вверх (рис. 1.55).

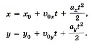
В этом случае движение шарика будет описываться кинематическими уравнениями

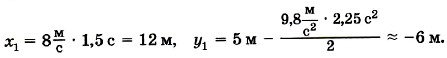
При сделанном выборе начала координат и направлений осей ОХ и OY имеем х0 = 0, у0 = |ОА|, υ0x = υ0, υ0y = 0, ах = О, ау = -g. Поэтому х = υ0t, Спустя время t1 = 1,5 с координаты шарика будут равны:

Задача 3. Футболист, находясь от ворот на расстоянии l, ударяет по мячу, и мяч летит с начальной скоростью υ0 и пролетает мимо, едва коснувшись верхней планки ворот. Высота ворот h. Определите, под каким углом начал лететь мяч, после того как футболист ударил по нему.

Р е ш е н и е. Выбрав систему координат так, как показано на рисунке 1.56, и начало координат в точке удара по мячу, отметим, что координаты мяча в момент касания верхней планки ворот будут

х = l, у = h.

Запишем уравнения движения мяча вдоль осей ОХ и OY:

х = (υ0cosα)t;
у = (υ0sinα)t - gt2/2.

Выразив из первого уравнения время и подставив его во второе, получим

Тогда у верхней планки ворот Мы получили тригонометрическое уравнение. Произведя замену 1/(cos2α) = 1 + tg2α и выполнив необходимые преобразования, получим квадратное уравнение относительно tgα:

тригонометрическое уравнение

Решив его, найдём

Тогда значения угла

Оба значения имеют смысл. Кроме этого, если (g/υ20)(h + gl2/2υ20) = = 1/2, то мяч касается планки в наивысшей точки траектории. На рисунке 1.56 показаны три возможные траектории полёта мяча.

Задачи для самостоятельного решения

1. Камень, упав с обрыва, достиг поверхности воды через 2 с. Чему равна высота обрыва? Определите модуль конечной скорости камня.

2. Льдинка падает с высоты 4 м. Определите время, за которое она пролетела последний метр, а также среднюю скорость её движения.

3. Камень брошен горизонтально со скоростью 20 м/с с высоты 10 м относительно земли. Определите время полёта, дальность полёта и скорость камня в момент падения на землю.

4. Мяч брошен с поверхности земли под углом 45° к горизонту со скоростью 20 м/с. Определите наибольшую высоту подъёма, дальность полёта, скорость в наивысшей точке траектории, скорость и координаты мяча через 2 с после начала движения.

Образцы заданий ЕГЭ

B1. Камень падает из состояния покоя с высоты h. Ось OY вертикальна и направлена вверх. Начало координат совпадает с поверхностью земли.

Установите соответствие между физическими величинами и формулами, определяющими их. К каждой позиции первого столбца подберите нужную позицию второго и запишите в таблицу выбранные цифры под соответствующими буквами.

B2.Тело брошено со скоростью υ0 под углом α к горизонту. Начало координат находится в точке, из которой брошено тело, ось ОХ горизонтальна, ось OY вертикальна и направлена вверх.

Установите соответствие между физическими величинами и формулами, определяющими их. К каждой позиции первого столбца подберите нужную позицию второго и запишите в таблицу выбранные цифры под соответствующими буквами.

 

 

???????@Mail.ru