Главная >> Физика 10 класс. Мякишев

Глава 5. Закон сохранения энергии

§ 41. Энергия. Кинетическая энергия

    Вспомните, когда мы можем сказать, что у тела есть энергия.

    Какие физические величины определяют механическую энергию тела?

    Какие виды механической энергии вы знаете?

Если система тел может совершить работу, то мы говорим, что она обладает энергией.

Важно
Энергия характеризует способность тела (или системы тел) совершать работу.

Совершая механическую работу, тело или система тел переходят из одного состояния в другое, в котором их энергия минимальна. Груз опускается, пружина распрямляется, движущееся тело останавливается. При совершении работы энергия постепенно расходуется. Для того чтобы система опять приобрела способность совершать работу, надо изменить её состояние: увеличить скорости тел, поднять тела вверх или деформировать. Для этого внешние силы должны совершить над системой положительную работу.

Энергия в механике — величина, определяемая состоянием системы — положением тел или частей тела и их скоростями.

Запомни
Кинетическая энергия — это энергия, которой обладает движущееся тело.

вектора силы

Подсчитаем работу постоянной силы , действующей на материальную точку массой m при его прямолинейном движении. Пусть направление силы совпадает с направлением скорости материальной точки. В этом случае направления вектора перемещения Дс и вектора силы совпадают (рис. 5.4). Поэтому работа силы Δ:

А = F|Δ|.

Выберем координатную ось ОХ так, чтобы векторы , 1, 2 и Δ были направлены в сторону положительного направления этой оси. Тогда Δrх = Δх, и формулу для работы можно записать так:

А = FΔx.                     (5.6)

Согласно второму закону Ньютона

F = mа.                     (5.7)

Так как точка движется с постоянным ускорением, то изменение её координаты Δх при переходе из начального положения в конечное можно найти по известной нам из кинематики формуле

при переходе из начального положения в конечное можно найти по известной нам из кинематики формуле

Повторите кинематику и выведите самостоятельно формулу (5.8).

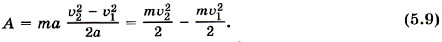
Подставляя формулы (5.7) и (5.8) в формулу (5.6), получаем

Таким образом, работа силы при перемещении точки из начального положения в конечное равна изменению величины называемой кинетической энергией (от греческого слова «кинема» — движение).

Запомни
Кинетическая энергия материальной точки — это величина, равная половине произведения массы материальной точки на квадрат её скорости:

Кинетическая энергия материальной точки

Энергия выражается в тех же единицах, что и работа. Учитывая равенство (5.10), уравнение (5.9) можно записать так:

А = Ек2 - Ек1 = ΔЕк.

Равенство (5.11) выражает теорему об изменении кинетической энергии.

Важно
Изменение кинетической энергии материальной точки при её перемещении равно работе, совершённой силой, действующей на точку при этом перемещении.

Если на точку действует несколько сил, то изменение её кинетической энергии равно алгебраической сумме работ всех сил, действующих на неё:

ΔЕк = А1 + А2 + ... .

Кинетическая энергия тел зависит только от их масс и скоростей.

Почему мы говорим об апгебраической сумме работ? Пусть изменение кинетической энергии тела равно нулю. Могут ли при этом работы сил, действующих на него, быть отличны от нуля?

Важно
Изменение кинетической энергии материальной точки зависит от начальной и конечной скоростей точки и не зависит от того, каким образом изменялась её скорость, под действием каких сил происходило это изменение.

Ключевые слова для поиска информации по теме параграфа.
Энергия. Кинетическая энергия

Вопросы к параграфу

    1. Как выглядит график изменения кинетической энергии материальной точки в зависимости от модуля её скорости? Начертите его.

    2. Какую работу совершила сила, действующая на точку, если направление её скорости изменилось на противоположное, а модуль её остался без изменения?

    3. Три тела массами m1, m2 и m3 имеют скорости υ1, υ2 и υ3, направленные под углом друг к другу. Запишите выражение для кинетической энергии системы этих трёх тел.

    4. Зависит ли кинетическая энергия материальной точки от выбора системы отсчёта?

    5. Может ли кинетическая энергия иметь отрицательное значение?

 

 

???????@Mail.ru