Главная >> Физика 10 класс. Мякишев

Глава 10. Уравнение состояния идеального газа. Газовые законы

§ 66. Примеры решения задач по теме «Газовые законы»

Если при переходе газа из начального состояния в конечное один из параметров не меняется, то разумно использовать один из газовых законов (10.6), (10.7) или (10.9).

Для этого нужно знать зависимость параметров друг от друга, которая в общем случае даётся уравнением состояния, а в частных — газовыми законами.

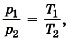
Задача 1. Баллон вместимостью V1 = 0,02 м3, содержащий воздух под давлением Pi — 4 • 10° Па, соединяют с баллоном вместимостью V2 = 0,06 м3, из которого воздух выкачан. Определите давление р, которое установится в сосудах. Температура постоянна.

Р е ш е н и е. Воздух из первого баллона займёт весь предоставленный ему объём V1 + V2. По закону Бойля—Мариотта p1V1 = p(V2 + V1).

Отсюда искомое давление

Задача 2. В запаянной пробирке находится воздух при атмосферном давлении и температуре 300 К. При нагревании пробирки на 100 °С она лопнула. Определите, какое максимальное давление выдерживает пробирка.

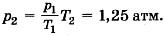
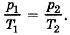
Р е ш е н и е. Объём воздуха при нагревании остаётся постоянным.

Для определения давления в пробирке при нагревании до 100 °С применяем закон Шарля

По условию Т2 = 400 К. Заметим, что изменение температуры по шкале Кельвина равно изменению температуры по шкале Цельсия.

Тогда давление

Однако разорваться пробирке мешает атмосферное давление. Тогда окончательно давление, которое может выдержать пробирка, рmах = ратм + р2 ≈ 2,25 атм.

Задача 3. При нагревании газа при постоянном объёме на 1 К давление увеличилось на 0,2 %. Чему равна начальная температура газа?

Р е ш е н и е. Газ нагревается при постоянном объёме — процесс изохорный. По закону Шарля где Т2 = Т1 + ΔТ. Из условия задачи следует, что р2 = p1 • 1,002, т. е. откуда Т1 = ΔТ/0,002 = 500 К.

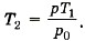
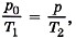
Задача 4. Давление воздуха внутри бутылки, закрытой пробкой, равно 0,1 МПа при температуре t1 = 7 °С. На сколько градусов нужно нагреть воздух в бутылке, чтобы пробка вылетела? Без нагревания пробку можно вынуть, прикладывая к ней силу 30 Н. Площадь поперечного сечения пробки 2 см2.

Р е ш е н и е. Чтобы пробка вылетела из бутылки, необходимо, чтобы давление воздуха в бутылке было равно

При нагревании объём не изменяется. По закону Шарля откуда Следовательно,

При нагревании объём не изменяется

Задачи для самостоятельного решения

1. Компрессор, обеспечивающий работу отбойных молотков, засасывает из атмосферы воздух объёмом V = 100 л в 1 с. Сколько отбойных молотков может работать от этого компрессора, если для каждого молотка необходимо обеспечить подачу воздуха объёмом V1 = 100 см3 в 1 с при давлении р = 5 МПа? Атмосферное давление р0 = 100 кПа.

2. Определите температуру газа, находящегося в закрытом сосуде, если давление газа увеличивается на 0,4 % от первоначального давления при нагревании на 1 К.

3. Высота пика Ленина на Памире равна 7134 м. Атмосферное давление на этой высоте равно 3,8 • 104 Па. Определите плотность воздуха на вершине пика при температуре 0 °С, если плотность воздуха при нормальных условиях 1,29 кг/м3.

Образцы заданий ЕГЭ

С1. Идеальный газ изотермически сжали из состояния с объёмом 6 л так, что давление газа изменилось в 3 раза. На сколько уменьшился объём газа в этом процессе?

С2. Поршень площадью 10 см2 и массой 5 кг может без трения перемещаться в вертикальном цилиндрическом сосуде, обеспечивая при этом его герметичность. Сосуд с поршнем, заполненный газом, покоится на полу неподвижного лифта при атмосферном давлении 100 кПа, при этом расстояние от нижнего края поршня до дна сосуда 20 см. Каким станет это расстояние, когда лифт поедет вверх с ускорением, равным 2 м/с2? Изменение температуры газа не учитывайте.

С3. С идеальным газом происходит изобарный процесс, в котором для увеличения объёма газа на 150 дм3 его температуру увеличивают в 2 раза. Масса газа постоянна. Каким был первоначальный объём газа?

С4. Идеальный одноатомный газ в количестве ν = 0,09 моль находится в равновесии в вертикальном цилиндре под поршнем массой 5 кг. Трение между поршнем и стенками цилиндра отсутствует. Внешнее атмосферное давление p0 = 100 кПа. В результате нагревания газа поршень поднялся на высоту Δh = 4 см, а температура газа повысилась на ΔТ = 16 К. Чему равна площадь поршня?

С5. Идеальный газ изохорно нагревают так, что его температура изменяется на ΔТ = 240 К, а давление — в 1,8 раза. Масса газа постоянна. Определите начальную температуру газа по шкале Кельвина.

 

 

???????@Mail.ru