Главная >> Физика 10 класс. Мякишев

Глава 14. Электростатика

§ 91. Примеры решения задач по теме «Напряжённость электрического поля. Принцип суперпозиции полей»

При решении задач с использованием понятия напряжённости электрического поля нужно прежде всего знать формулы (14.8) и (14.9), определяющие силу, действующую на заряд со стороны электрического поля, и напряжённость поля точечного заряда. Если поле создаётся несколькими зарядами, то для расчёта напряжённости в данной точке надо сделать рисунок и затем определить напряжённость как геометрическую сумму напряжённостей полей.

Задача 1. Два одинаковых положительных точечных заряда расположены на расстоянии r друг от друга в вакууме. Определите напряжённость электрического поля в точке, расположенной на одинаковом расстоянии r от этих зарядов.

Р е ш е н и е. Согласно принципу суперпозиции полей искомая напряжённость равна геометрической сумме напряжённостей полей, созданных каждым из зарядов (рис. 14.17): = 1 + 2.

Модули напряжённостей полей зарядов равны:

Модули напряжённостей полей зарядов равны

Диагональ параллелограмма, построенного на векторах 1 и 2, есть напряжённость результирующего поля, модуль которой равен:

Напряжённость результирующего поля, модуль которой равен

Задача 2. Проводящая сфера радиусом R = 0,2 м, несущая заряд q = 1,8 • 10-4 Кл, находится в вакууме. Определите: 1) модуль напряжённости электрического поля на её поверхности; 2) модуль напряжённости 1 электрического поля в точке, отстоящей на расстоянии r1 = 10 м от центра сферы; 3) модуль напряжённости 0 в центре сферы.

Р е ш е н и е. Электрическое поле заряженной сферы вне её совпадает с полем точечного заряда. Поэтому

Следовательно,

3) напряжённость поля в любой точке внутри проводящей сферы равна нулю: Е0 = 0.

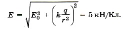
Задача 3. В однородное электрическое поле напряжённостью Е0 = 3 кН/Кл внесли точечный заряд q = 4 • 10-10 Кл. Определите напряжённость электрического поля в точке А, находящейся на расстоянии r = 3 см от точечного заряда. Отрезок, соединяющий заряд и точку А, перпендикулярен силовым линиям однородного электрического поля.

Показаны эти два вектора и их сумма.

Р е ш е н и е. Согласно принципу суперпозиции напряжённость электрического поля в точке А равна векторной сумме напряжённостей однородного поля 0 и поля 1, созданного в этой точке внесённым электрическим зарядом. На рисунке 14.18 показаны эти два вектора и их сумма. По условию задачи векторы 0 и 1 взаимно перпендикулярны. Напряжённость поля точечного заряда

Тогда напряжённость электрического поля в точке А равна:

Напряжённость электрического поля в точке

Задача 4. В вершинах равностороннего треугольника со стороной а = 3 см находятся три точечных заряда q1 = q2 = 10-9 Кл, q3 = -2 • 10-9 Кл. Определите напряжённость электрического поля в центре треугольника в точке О.

Векторы напряжённостей

Р е ш е н и е. Согласно принципу суперпозиции полей напряжённость поля в точке О равна векторной сумме напряжённостей полей, созданных каждым зарядом в отдельности: 0 = 1 + 2 + 3, причём где

На рисунке 14.19 показаны векторы напряжённостей 1, 2, 3. Сначала сложим векторы 1 и 2. Как видно из рисунка, угол между этими векторами равен 120°. Следовательно, модуль суммарного вектора равен модулю l1l и направлен в ту же сторону, что и вектор 3.

Окончательно запишем:

Модуль суммарного вектора равен

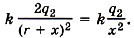
Задача 5. Расстояние между двумя неподвижными зарядами q1 = -2 X 10-9 Кл и q2 = 10-9 Кл равно 1 м. В какой точке напряжённость электрического поля равна нулю?

Напряжённости полей <img src=1 и 2, созданных этими зарядами, направлены в одну сторону">

Р е ш е н и е. Очевидно, что на отрезке между зарядами напряжённость не может быть равна нулю, так как напряжённости полей 1 и 2, созданных этими зарядами, направлены в одну сторону (рис. 14.20).

Следовательно, напряжённость поля может быть равна нулю или справа, или слева от зарядов на линии, проходящей через эти заряды.

Так как модуль первого заряда больше, чем модуль второго, то эта точка должна находиться ближе ко второму заряду, т. е. в нашем случае справа от зарядов. Расстояние от второго заряда до точки А обозначим через х. Тогда из условия, что |'1| = '2, можно записать:

Решая это уравнение, получаем

Окончательно

Задачи для самостоятельного решения

1. В направленном вертикально вниз однородном электрическом поле напряжённостью 1,3 • 105 Н/Кл капелька жидкости массой 2 • 10-9 г оказалась в равновесии. Определите заряд капельки и число избыточных электронов на ней.

2. Точечный заряд q — 10-9 Кл окружён сферической оболочкой из диэлектрика с относительной диэлектрической проницаемостью ε = 2. Внешний и внутренний радиусы оболочки равны соответственно R1 = 5 см, а R2 = 6 см. Определите напряжённость Е(r) электрического поля в зависимости от расстояния от заряда и начертите график этой зависимости.

3. Три концентрические сферы радиусами R, 2R и 3R несут равномерно распределённые по их поверхностям заряды q1 = +2q, q2 = -q и q3 = +q соответственно. Известно что точечный заряд q создаёт на расстоянии R электрическое поле напряжённостью Е1 = 63 Н/Кл. Чему равна напряжённость поля в точке, отстоящей от центра сфер на расстоянии, равном 2,5R?

Образцы заданий ЕГЭ

A1. Точка В находится в середине отрезка АС. Неподвижные точечные заряды —q и -2q расположены в точках А и С соответственно (см. рис.). Какой заряд надо поместить в точку С взамен заряда -2q, чтобы напряжённость электрического поля в точке В увеличилась в 2 раза?

1) -5q       2) 4q       3) -3q       4) 3q

C2. Точечный заряд q, помещённый в начало координат, создаёт в точке А электростатическое поле напряжённостью ЕA = 65 Н/Кл (см. рис.). Чему равна напряженность ЕB в точке В?

C3. В однородном электрическом поле, вектор напряжённости которого направлен вертикально вверх, висит шарик массой 10 г и зарядом 5 мКл. При выключении поля сила натяжения нити увеличивается в два раза. Определите напряжённость поля.

 

 

???????@Mail.ru