Главная >> Физика 10 класс. Мякишев

Глава 14. Электростатика

§ 96. Примеры решения задач по теме «Потенциальная энергия электростатического поля. Разность потенциалов»

При решении задач надо учитывать, что работа сил, действующих на заряд со стороны поля, выражается через разность потенциальных энергий или разность потенциалов (см. формулу (14.20)). Потенциал однородного поля определяется формулой (14.16), при этом надо всегда указывать, как выбран нулевой уровень потенциала.

Часто при решении задач надо учитывать, что все точки проводника в электростатическом поле имеют один и тот же потенциал, а напряжённость поля внутри проводника равна нулю.

Задача 1. Определите значение напряжённости и потенциала поля в точке А, находящейся на расстоянии l = 20 см от поверхности заряженной проводящей сферы радиусом R = 10 см, если потенциал сферы φ0 = 240 В.

Р е ш е н и е. Напряжённость поля сферы в точке А

Напряжённость поля сферы в точке А

где q0 — заряд сферы. Потенциал сферы и потенциал поля в точке А равны соответственно

Потенциал сферы и потенциал поля в точке А равны

Выражая из формулы (2) заряд сферы q0 и подставляя полученное выражение в формулы (1) и (3), получаем для напряжённости Ел и потенциала Фл следующие выражения:

ЕA = φ0R/(R + l)2 ≈ 267 Н/Кл, φA = φ0R/(R + l) = 80 В.

Задача 2. Какую работу А необходимо совершить, чтобы перенести заряд q = 3 • 10-8 Кл из бесконечности в точку, находящуюся на расстоянии l = 90 см от поверхности сферы радиусом R = 10 см, если поверхностная плотность заряда сферы σ = 2 • 10-6 Кл/м2?

Работа, совершаемая при перенесении заряда q из бесконечности в точку 1

Р е ш е н и е. Работа, совершаемая при перенесении заряда q из бесконечности в точку 1 (рис. 14.35), равна увеличению потенциальной энергии заряда:

A = ΔWп = Wп1 - W.

Так как площадь поверхности сферы равна 4πR2, то заряд сферы равен 4πR2σ. Тогда потенциал поля в точке 1

Потенциал поля в точке 1

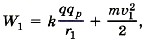
Задача 3. К закреплённому заряженному шарику зарядом +q движется протон. На расстоянии r = r1 скорость протона υ1. Определите, на какое минимальное расстояние приблизится протон к шарику.

Р е ш е н и е. Энергия протона на расстоянии r1 равна сумме его потенциальной и кинетической энергий: на расстоянии rmin (протон останавливается) — только потенциальной энергии:

Кулоновская сила — консервативная, следовательно, можно записать закон сохранения энергии:

Закон сохранения энергии

Задача 4. В центр незаряженной металлической сферической оболочки с внутренним радиусом R1 и внешним радиусом R2 помещают заряд q (рис. 14.36, а). Определите напряжённость и потенциал поля как функции расстояния от центра сферы.

Р е ш е н и е. Если заряд находится в центре, на внутренней поверхности металлической оболочки индуцируется заряд противоположного знака, а на внешней — того же знака, что и заряд q. При этом сумма индуцированных зарядов равна нулю (закон сохранения заряда).

Силовые линии поля начинаются на заряде q и заканчиваются на внутренней поверхности оболочки, а затем опять начинаются на внешней поверхности оболочки. Напряжённость электрического поля внутри проводника равна нулю. Картина силовых линий поля данной системы аналогична картине силовых линий поля точечного заряда за исключением области, занимаемой оболочкой. Здесь силовые линии терпят разрыв.

Силовые линии терпят разрыв.

На рисунке 14.36, б изображена зависимость напряжённости Е(r).

Изображена зависимость напряжённости Е(r)

Согласно принципу суперпозиции потенциал любой точки поля складывается из потенциала поля заряда q, проводящей сферы радиусом R1, с зарядом -q и проводящей сферы радиусом R2 с зарядом +q.

Потенциалы во всех точках проводника равны

На рисунке 14.36, в изображена зависимость потенциала φ(r).

После заземления шарика в системе будет происходить перетекание заряда

Задача 5. Металлический шарик радиусом R1 = 20 см окружили тонкой сферической заряженной оболочкой, радиус которой R2 = 40 см и заряд q = 2 • 10-6 Кл (рис. 14.37). Определите потенциал оболочки и заряд шарика после того, как его заземлили.

Р е ш е н и е. После заземления шарика в системе будет происходить перетекание заряда до тех пор, пока потенциал шарика не станет равным нулю.

Потенциал шарика где qx — заряд шарика. Отсюда qx = -qR1/R2 = -10-6 Кл.

Запишем выражение для потенциала оболочки и подставим в него выражение для заряда qx шарика:

Запишем выражение для потенциала оболочки

Задачи для самостоятельного решения

На каких участках работа поля по перемещению заряда была положительной?

1. Электрический заряд q1 > 0 переместили по замкнутому контуру ABCD в поле точечного заряда q2 > 0 (рис. 14.38). На каких участках работа поля по перемещению заряда была положительной? отрицательной? равной нулю? Как изменялась потенциальная энергия системы? Чему равна полная работа поля по перемещению заряда?

2. Двигаясь в электрическом поле, электрон перешёл из одной точки в другую, потенциал которой выше на 1 В. Насколько изменилась кинетическая энергия электрона? потенциальная энергия электрона?

3. Два одинаковых шарика, имеющие одинаковые одноимённые заряды, соединены пружиной, жёсткость которой k = 103 Н/м, а длина l0 = 4 см. Шарики колеблются так, что расстояние между ними изменяется от 3 до 6 см. Определите заряды шариков.

4. Разность потенциалов между точками, лежащими на одной силовой линии на расстоянии 3 см друг от друга, равна 120 В. Определите напряжённость электростатического поля, если известно, что поле однородно.

5. Изобразите эквипотенциальные поверхности бесконечного проводящего и равномерно заряженного цилиндра.

6. У электрона, движущегося в электрическом поле, увеличилась скорость с υ1 ≈ 1 • 107 м/с до υ2 ≈ 3 • 107 м/с. Определите разность потенциалов между начальной и конечной точками перемещения электрона. Отношение заряда электрона к его массе

7. Два небольших проводящих заряженных шара радиусом г расположены на расстоянии I друг от друга (l > 2г). Шары поочерёдно на некоторое время заземляют. Определите потенциал шара, который был заземлён первым. Первоначально каждый шар имел заряд q.

Образцы заданий ЕГЭ

A1. Заряженная пылинка движется между двумя одинаковыми заряженными вертикальными пластинами, расположенными напротив друг друга. Разность потенциалов между пластинами 500 В, масса пылинки столь мала, что силой тяжести можно пренебречь. Какую кинетическую энергию приобретает пылинка при перемещении от одной пластины до другой, если её заряд 4 нКл?

1) 2 мкДж       2) 1 мкДж       3) 4 мкДж       4) 0,08 мкДж

A2. Заряженная пылинка движется вертикально между двумя одинаковыми горизонтальными пластинами размером 5X5 см, расположенными напротив друг друга на расстоянии 0,5 см, разность потенциалов между которыми 300 В. Её кинетическая энергия при перемещении от одной пластины до другой изменяется на 1,5 мкДж. Чему равен заряд пылинки? Силу тяжести не учитывайте.

1) 10 нКл       2) 1,5 нКл       3) 5 нКл       4) 0,25 нКл

C3. Песчинка, имеющая заряд 10-11 Кл, влетела в однородное электрическое поле вдоль его силовых линий с начальной скоростью 0,1 м/с и переместилась на расстояние 4 см. Чему равна масса песчинки, если её скорость увеличилась на 0,2 м/с при напряжённости поля 105 В/м? Силу тяжести не учитывайте.

C4. Три концентрические сферы радиусами R, 2R и 3R (см. рис.) имеют равномерно распределённые по их поверхностям заряды q1 = +2q, q2 = +q, q3 = +q соответственно. Известно, что точечный заряд q создаёт на расстоянии R электрическое поле с потенциалом φ1 = 100 В. Чему равен потенциал в точке А, отстоящей от центра сфер на расстоянии RA = 2,5R?

 

 

???????@Mail.ru