Главная >> Физика 11 кл. Мякишев

Глава 17. Строение Вселенной

Строение и эволюция Вселенной

Радиус Вселенной

Радиус Вселенной легко оценить с помощью закона Хаббла. Так как максимальная скорость не может превышать скорости света, то максимальное расстояние R, до которого мы можем наблюдать небесные тела, соответствует скорости разбегания галактик ν = с = 3 • 105 км/с, откуда

Радиус Вселенной

или R = 1,24 • 1026 м.

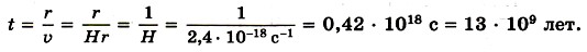
Возраст Вселенной

Если наблюдения пока не позволяют нам с определенностью сказать о характере будущего расширения Вселенной, то оценить, когда в прошлом это расширение началось, можно с помощью закона Хаббла. Действительно, если наблюдаемая нами галактика удаляется со скоростью ν и сейчас после «начала» расширения находится на расстоянии r от Земли, то свое удаление она начала в момент

Возраст Вселенной

Эти рассуждения применимы для любой галактики. Таким образом, около 13 млрд лет назад все вещество метагалактики было сосредоточено в небольшом объеме и плотность вещества была настолько высокой, что ни галактик, ни звезд не существовало. Пока не ясны ни физические процессы, протекавшие до этого сверхплотного состояния вещества, ни причины, вызвавшие расширение Вселенной. Ясно одно, что со временем расширение привело к значительному уменьшению плотности вещества и на определенном этапе расширения стали формироваться галактики и звезды.

Некоторые видят в наблюдаемом разбегании галактик аналогию с разлетом вещества во время взрыва, поэтому описанная теория расширения Вселенной получила название теории Большого взрыва, а время (13 млрд лет), прошедшее с начала этого взрыва, называют возрастом Вселенной.

Модель «горячей Вселенной»

В 1968 г. было обнаружено излучение, которое не связано ни с одним известным источником радиоизлучения. Оно идет со всех сторон и похоже на излучение абсолютно черного тела. Это микроволновое излучение имеет максимум на длине волны λmax = 1 мм, что, согласно закону смещения Вина, соответствует температуре излучения 2,7 К. В прошлом, на ранних этапах эволюции Вселенной, плотность и температура этого излучения были существенно выше. Таким образом, в прошлом не только плотность, но и температура вещества были очень высокими. Так, например, когда возраст Вселенной был всего несколько секунд, температура вещества и излучения была десятки и сотни миллионов кельвинов. Конечно, ни о каких галактиках и звездах в этот период говорить не приходится. Они образовались значительно позднее, когда температура и плотность вещества стали ниже. Так как наблюдаемое микроволновое излучение с температурой 2,7 К связано с горячим веществом на ранних этапах эволюции Вселенной, то излучение получило название реликтового (оставшегося от прошлых эпох), а модель расширяющейся Вселенной называют моделью «горячей Вселенной».

<<< К началу

 

 

???????@Mail.ru