Главная >> Физика 11 кл. Мякишев

Лабораторная работа 3

Определение ускорения свободного падения при помощи маятника

Оборудование

Часы с секундной стрелкой, измерительная лента с погрешностью Δл = 0,5 см, шарик с отверстием, нить, штатив с муфтой и кольцом.

Подготовка к проведению работы

Для измерения ускорения свободного падения применяются разнообразные гравиметры, в частности маятниковые приборы. С их помощью удается измерить ускорение свободного падения с абсолютной погрешностью порядка 10-5 м/с2.

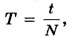
В работе используется простейший маятник — шарик на нити. При малых размерах шарика по сравнению с длиной нити и небольших отклонениях от положения равновесия период колебаний равен периоду колебаний математического маятника Для увеличения точности измерения периода нужно измерить время t достаточно большого числа N полных колебаний маятника. Тогда период и ускорение свободного падения может быть вычислено по формуле

Проведение эксперимента

1. Установите на краю стола штатив. У его верхнего конца укрепите с помощью муфты кольцо и подвесьте к нему шарик на нити. Шарик должен висеть на расстоянии 1—2 см от пола.

2. Измерьте лентой длину l маятника (длина маятника должна быть не менее 50 см).

3. Возбудите колебания маятника, отклонив шарик в сторону на 5—8 см и отпустив его.

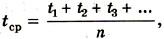
4. Измерьте в нескольких экспериментах время t 50 колебаний маятника и вычислите t cp где n — число опытов по измерению времени.

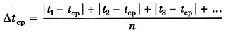
5. Вычислите среднюю абсолютную погрешность измерения времени

Вычислите среднюю абсолютную погрешность измерения времени

и результаты занесите в таблицу.

результаты занесите в таблицу

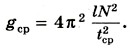
6. Вычислите ускорение свободного падения по формуле

Ускорение свободного падения

7. Определите относительную погрешность измерения времени εt.

8. Определите относительную погрешность измерения длины маятника Значение Δl складывается из погрешности мерной ленты и погрешности отсчета, равной половине цены деления ленты: Δl = Δlл + Δlотсч.

9. Вычислить относительную погрешность измерения g по формуле

εg = εl + 2επ + 2εt,

учитывая, что погрешностью округления π можно пренебречь, если π = 3,14; также можно пренебречь εt, если она в 4 раза (и более) меньше 2εt.

10. Определите Δg = εqg и запишите результат измерения в виде

g - Δg ≤ g ≤ g + Δg.

Убедитесь в достоверности измерений и проверьте принадлежность известного значения g полученному интервалу.

 

 

???????@Mail.ru