Главная >> Физика 11 кл. Мякишев

Глава 4. Электромагнитные колебания

§ 35. Резонанс в электрической цепи

При изучении вынужденных механических колебаний мы ознакомились с явлением резонанса. Резонанс наблюдается в том случае, когда собственная частота колебаний системы совпадает с частотой изменения внешней силы. Если трение мало, то амплитуда установившихся вынужденных колебаний при резонансе резко увеличивается. Совпадение вида уравнений для описания механических и электромагнитных колебаний позволяет сделать заключение о возможности резонанса также и в электрической цепи, если эта цепь представляет собой колебательный контур, обладающий определенной собственной частотой колебаний.

При механических колебаниях резонанс выражен отчетливо при малых значениях коэффициента трения μ. В электрической цепи роль коэффициента трения выполняет ее активное сопротивление R. Ведь именно наличие этого сопротивления в цепи приводит к превращению энергии тока во внутреннюю энергию проводника (проводник нагревается). Поэтому резонанс в электрическом колебательном контуре должен быть выражен отчетливо при малом активном сопротивлении R.

Мы с вами уже знаем, что если активное сопротивление мало, то собственная циклическая частота колебаний в контуре определяется формулой

циклическая частота колебаний в контуре

Сила тока при вынужденных колебаниях должна достигать максимальных значений, когда частота переменного напряжения, приложенного к контуру, равна собственной частоте колебательного контура:

частота переменного напряжения

Резонансом в электрическом колебательном контуре называется явление резкого возрастания амплитуды вынужденных колебаний силы тока при совпадении частоты внешнего переменного напряжения с собственной частотой колебательного контура.

Амплитуда силы тока при резонансе

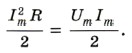
Как и в случае механического резонанса, при резонансе в колебательном контуре создаются оптимальные условия для поступления энергии от внешнего источника в контур. Мощность в контуре максимальна в том случае, когда сила тока совпадает по фазе с напряжением. Здесь наблюдается полная аналогия с механическими колебаниями: при резонансе в механической колебательной системе внешняя сила (аналог напряжения в цепи) совпадает по фазе со скоростью (аналог силы тока).

Не сразу после включения внешнего переменного напряжения в цепи устанавливается резонансное значение силы тока. Амплитуда колебаний силы тока нарастает постепенно — до тех пор, пока энергия, выделяющаяся за период на резисторе, не сравняется с энергией, поступающей в контур за это же время:

Амплитуда колебаний силы тока

Окончание >>>

 

 

???????@Mail.ru