Главная >> Физика 11 кл. Мякишев

Глава 4. Электромагнитные колебания

Краткие итоги главы 4: Электромагнитные колебания

1. При электромагнитных колебаниях происходят периодические изменения электрического заряда, силы тока и напряжения. Электромагнитные колебания подразделяются на свободные, затухающие, вынужденные и автоколебания.

2. Простейшей системой, в которой наблюдаются свободные электромагнитные колебания, является колебательный контур. Он состоит из проволочной катушки и конденсатора. Уравнение, описывающее электромагнитные колебания в контуре, имеет вид

свободные электромагнитные колебания

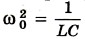
где q — заряд конденсатора; q" — вторая производная заряда по времени; — квадрат циклической частоты колебаний, зависящей от индуктивности L и емкости С.

3. Решение уравнения, описывающего свободные электромагнитные колебания, выражается либо через косинус, либо через синус:

q = qm cos ω0t или q =kk qm sin ω0t.

4. Колебания, происходящие по закону косинуса или синуса, называются гармоническими. Максимальное значение заряда qm на обкладках конденсатора называется амплитудой колебаний заряда. Величина со0 называется циклической частотой колебаний и выражается через число v колебаний в секунду: ω0 = 2πv.

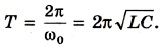
Период колебаний выражается через циклическую частоту следующим образом:

Период колебаний

Величину, стоящую под знаком косинуса или синуса в решении для уравнения свободных колебаний, называют фазой колебаний. Фаза определяет состояние колебательной системы в данный момент времени при заданной амплитуде колебаний.

5. Из-за наличия у контура сопротивления колебания в нем с течением времени затухают.

6. Вынужденные колебания, т. е. переменный электрический ток, возникают в цепи под действием внешнего периодического напряжения. Между колебаниями напряжения и силы тока в общем случае наблюдается сдвиг фаз φ.

7. Мощность в цепи переменного тока определяется действующими значениями силы тока и напряжения: Р = IU cos φ.

8. При совпадении частоты внешнего переменного напряжения с собственной частотой колебательного контура наступает резонанс — резкое возрастание амплитуды силы тока при вынужденных колебаниях. Резонанс выражен отчетливо лишь при достаточно малом активном сопротивлении контура.

Одновременно с возрастанием силы тока при резонансе происходит резкое увеличение напряжения на конденсаторе и катушке. Явление электрического резонанса используется при радиосвязи.

9. Автоколебания возбуждаются в колебательном контуре генератора на транзисторе за счет энергии источника постоянного напряжения. В генераторе используется транзистор, т. е. полупроводниковое устройство, состоящее из эмиттера, базы и коллектора и имеющее два р—n-перехода. Колебания тока в контуре вызывают колебания напряжения между эмиттером и базой, которые управляют силой тока в цепи колебательного контура (обратная связь). От источника напряжения в контур поступает энергия, компенсирующая потери энергии в контуре на резисторе.

 

 

???????@Mail.ru