Главная >> Физика 11 кл. Мякишев

Глава 4. Электромагнитные колебания

Электромагнитные колебания: Примеры решения задач

1. Максимальный заряд на обкладках конденсатора колебательного контура qm = 10-6 Кл. Амплитудное значение силы тока в контуре Im = 10-3 А. Определите период колебаний. (Потерями на нагревание проводников можно пренебречь.)

Р е ш е н и е. Амплитудные значения силы тока и заряда связаны соотношением:

Im = ω0 qm,

откуда

Амплитудные значения

Следовательно,

период колебаний

2. Рамка площадью S = 3000 см2 имеет N = 200 витков и вращается в однородном магнитном поле с индукцией В = 1,5 • 10-2 Тл. Максимальная ЭДС в рамке Определите время одного оборота.

Р е ш е н и е. Магнитный поток, пронизывающий рамку, равен:

Ф = BSN cos ωt.

Согласно закону электромагнитной индукции:

е = -Ф' = BSNω sin ωt.

Амплитуда ЭДС индукции

Амплитуда ЭДС индукции

Время одного оборота рамки равно:

Время одного оборота рамки

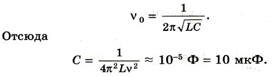
3. В цепь переменного тока с частотой ν = 500 Гц включена катушка индуктивностью L = 10 мГн. Определите емкость конденсатора, который надо включить в эту цепь, чтобы наступил резонанс.

Р е ш е н и е. Электрическая цепь согласно условию задачи представляет собой колебательный контур. Резонанс в этой цепи наступит, когда частота переменного тока будет равна собственной частоте колебательного контура (ν = ν0).

Резонанс в этой цепи

 

 

???????@Mail.ru